ARCHIVIO NEWS LIGURIA DAL 2011 AL 2016
Ore 18.50 - PIEMONTE, LOMBARDIA E LIGURIA: ARRIVA NEI MUX TELESTAR E TELECITY RADIO ITALIA TV, ELIMINATA 6 MIA TV. Nel mux TELESTAR versione PIEMONTE, LOMBARDIA e LIGURIA non è più presente 6MIA TV che in queste regioni si posizionava rispettivamente sulle LCN 172- 213 - 273 . Al suo posto è ora on air una copia di Telecity__2. ![]() Nei mux TELESTAR (PIEMONTE), TELESTAR (LOMBARDIA) e TELECITY (LIGURIA) stata aggiunta sulla LCN 70 RADIO ITALIA TV. ![]() ![]() Nella versione TELESTAR (LIGURIA) sulla LCN 33 è stata aggiunta 33 che contestualmente è stata rimossa dal mux TELECITY (LIGURIA). ![]()
Ore 12.15 - MUX TELECITY (PIEMONTE) / (LOMBARDIA) / (LIGURIA): INSERITA SHOPPING TV. UHF 45 UHF 45 UHF 24
Nei mux TELECITY versione PIEMONTE, LOMBARDIA e LIGURIA sulla LCN 164 è stata inserita l'emittente di carattere commerciale SHOPPINGTV. ![]()
Ore 12.40 - MUX TELESTAR (PIEMONTE) / (LOMBARDIA) / (LIGURIA): AL POSTO DI TRS 2 ARRIVA CANALE 227. Nel mux TELESTAR versione PIEMONTE, LOMBARDIA e LIGURIA sulla LCN 227 non è più presente TRS 2. Al suo posto è ora on air l'inedita CANALE 227. ![]()
Ore 16.45 - MUX TELECITY (PIEMONTE) / (LOMBARDIA) / (LIGURIA): AGON CHANNEL RINOMINATO 33, NUOVO LOGO PER TESORY CHANNEL.
Nei mux TELECITY versione PIEMONTE, LOMBARDIA e LIGURIA sulla
LCN 33 è stato aggiornato da qualche giorno l'identificativo del
canale. L'emittente in questione infatti non è più nominata AGON CHANNEL ma 33. ![]() Tesory Channel trasmette ora con un proprio logo di stazione, in precedenza era presente quello di PRONTO GOLD.
Ore 22.40 - MUX TELECITY (PIEMONTE) / (LOMBARDIA) / (LIGURIA): ARRIVA TESORY CHANNEL, AGON CHANNEL DIVENTA 33. UHF 45 UHF 45 UHF 24 Aggiorniamo le composizioni dei mux TELECITY versione PIEMONTE, LOMBARDIA e LIGURIA segnalando che sulla LCN 228 è stata aggiunta Tesory Channel che trasmette la programmazione di PRONTO GOLD TV, secondo canale del gruppo PRONTO GOLD. Il logo di rete riporta la scritta PRONTOGOLD TELEVISION senza la scritta UNO, a differenza dell'altra emittente ProntoGold sulla LCN 139 che trasmette differenti programmi e nel logo è presente invece la parola UNO. Solo in alcune fasce orarie entrambi i canali trasmettono lo stesso palinsesto. ![]() ![]() Inoltre segnaliamo che il canale AGON CHANNEL ha terminato le sue trasmissioni, infatti da alcuni giorni era a schermo nero. La numerazione LCN 33 è stata ceduta al gruppo Scripps Network di cui fa parte l'emittente Fine Living, veicolato con la LCN 49 dal MEDIASET Mux 2. Pertanto ora al posto di AGON CHANNEL è in onda il nuovo inedito canale 33. In alcuni orari è in onda una programmazione test mentre in altri è presente una schermata nera con il solo logo, che riporta allo stile di quello di Fine Living, posizionato in alto a destra. ![]() ![]()
Ore 15.05 - POTENZIATI ALCUNI RIPETITORI TV DEL SAVONESE MONTE BEIGUA. A conclusione di un procedimento che ha richiesto complesse analisi ambientali e valutazioni di impatto elettromagnetico, il Comune di Varazze ha rilasciato alla società Cairo Due, del gruppo Cairo Communication (La 7), l’autorizzazione unica ad attivare il canale 59 del digitale terrestre presso la stazione radiotelevisiva gestita da EI Towers sul Monte Beigua. L’istanza, che era stata presentata allo sportello unico per le attività produttive del Comune di Varazze nell’aprile dello scorso anno, era subordinata al parere di compatibilità elettromagnetica ed al parere dell’Arpal regionale. Contestual,menmte l’Amministrazione comunale varazzina ha rilasciato alla società Persidera Spa (ex Telecom Italia Media Broadcasting Srl di Roma) l’autorizzazione ad effettuare lo spostamento di tre apparati multiplex televisivi e di altri due impianti su un diverso sistema radiante, presso la postazione del Monte Beigua. Tratto da: www.savonauno.it/2016/06/22/potenziati-i-ripetitori-televisivi-sul-monte-beigua
Ore 19.30 - MUX TELECITY (PIEMONTE) / (LIGURIA): INSERITA PRONTOGOLD. UHF 45 Mux TELECITY (PIEMONTE) A - ALESSANDRIA/UHF 45 Mux TELECITY (PIEMONTE) B - TORINO
UHF 24 Mux TELECITY (LIGURIA) Nei mux TELECITY versione PIEMONTE e LIGURIA sulla LCN 139 è stata recentemente inserita ProntoGold. ![]() ![]()
Ore 22.40 - MUX TELESTAR (LIGURIA): AGGIUNTI TRS2 E RADIO FRA LE NOTE, ELIMINATA VETRINA 7 GOLD. Nel mux TELESTAR (LIGURIA) è stata aggiunta TRS2 (LCN 227). Nella medesima numerazione era presente VETRINA 7 GOLD che è stata eliminata e non è più trasmessa da alcun provider. Quest'ultima era trasmessa in MPEG-4 H264 mentre il flusso video della nuova TRS2 è in MPEG-2. ![]() L'identificativo di RADIO CITY SMI (LCN 702) è stato modificato in Radio Fra Le Note RC SMI. Dal relativo sito web www.radiofralenote.it apprendiamo che si tratta di un'emittente radiofonica legata alla parrocchia di San Martino d'Albaro di Genova. ![]() ![]()
Ore 17.35 - MUX TELECITY (LIGURIA): ELIMINATI OK SHOP, OK ITALIATV2 E OK ITALIATV3, INSERITA UN COPIA DI TELEGENOVA. Nel mux TELECITY (LIGURIA) sono stati eliminati OK SHOP (LCN 91), OK ITALIATV2 (LCN 170) e OK ITALIATV3 (LCN 225). Alla posizione LCN 111 è stata inserita una copia di TELEGENOVA. Quest'ultima è anche presente sulla consueta LCN 18 (identificata TeleGenova). ![]() ![]()
Ore 18.55 - MUX TELECITY (PIEMONTE) / (LOMBARDIA) / (LIGURIA): INSERITA AGON CHANNEL. UHF 45 Mux TELECITY (PIEMONTE) A - ALESSANDRIA/UHF 45 Mux TELECITY (PIEMONTE) B - TORINO
UHF 45 Mux TELECITY (LOMBARDIA) UHF 24 Mux TELECITY (LIGURIA) Dopo aver lasciato il provider CANALE ITALIA Mux 1, l'emittente AGON CHANNEL è stata inserita nel mux TELECITY versione PIEMONTE, LOMBARDIA e LIGURIA sulla LCN 33. ![]() ![]()
Ore 19.45 - MUX TELECITY (PIEMONTE) / (LOMBARDIA) / (LIGURIA): INSERITA OK SHOP. UHF 45 Mux TELECITY (PIEMONTE) A - ALESSANDRIA/UHF 45 Mux TELECITY (PIEMONTE) B - TORINO UHF 45 Mux TELECITY (LOMBARDIA) UHF 24 Mux TELECITY (LIGURIA) Nel mux TELECITY versione PIEMONTE, LOMBARDIA e LIGURIA è stata inserita OK SHOP. Questa emittente è trasmessa nel formato video H264
ed è pertanto visibile solo con sintonizzatori predisposti alla
decodifica di questo parametro. ![]() UHF 45 Mux TELECITY (PIEMONTE) A - ALESSANDRIA/UHF 45 Mux TELECITY (PIEMONTE) B - TORINO In PIEMONTE OK SHOP è stata inserita sulla LCN 99. ![]()
Ore 11.30 - MUX TELESTAR (PIEMONTE) /(LOMBARDIA) / (LIGURIA): TORNA IN ONDA VETRINA 7 GOLD. Nel mux TELESTAR versione PIEMONTE, LOMBARDIA e LIGURIA il canale identificato VETRINA 7 GOLD (LCN 227) non trasmette più la programmazione di OK SHOP bensì quella con il logo di rete di VETRINA 7 GOLD.
![]()
Ore 12.45 - ROTTAMAZIONE FREQUENZE TV: CONCLUSIONE PROCEDURA REGIONE LIGURIA.
Conclusione della procedura per la presentazione delle domande volte ad ottenere le misure economiche di natura compensativa per il rilascio volontario delle frequenze televisive interferenti ai sensi del Decreto Ministeriale del 17 aprile 2015, attuativo dell’art. 6, comma 9, del decreto legge 23 dicembre 2013, n. 145, convertito dalla legge del 21 febbraio2014, n. 9, come modificata dall’articolo 1, comma 147, della legge23 dicembre 2014 n. 190 – Determina per la REGIONE LIGURIA. ![]()
Ore 11.20 - MUX TELECITY (PIEMONTE) / (LOMBARDIA) / (LIGURIA): ARRIVA RADIO R101. UHF 45 Mux TELECITY (PIEMONTE) A - ALESSANDRIA/UHF 45 Mux TELECITY (PIEMONTE) B - TORINO
UHF 45 Mux TELECITY (LOMBARDIA) UHF 24 Mux TELECITY (LIGURIA) Nel mux TELECITY versione PIEMONTE, LOMBARDIA e LIGURIA è stata recentemente inserita l'emittente radiofonica R101 che si posizione sulla LCN 771. ![]() ![]()
Ore 14.30 - RADIOAMATORI A CACCIA DI FREQUENZE: RADIO ONDA LIGURE ASCOLTATA IN FINLANDIA. Di seguito anche il rapporto di ascolto inoltrato da Marko Brask radioamatore finlandese che spiega come è riuscito a catturare le frequenze di Radio Onda Ligure 101. Radioamatori da tutto il mondo in cerca di frequenze da trovare con fatica per poi mandare, ai tempi una cartolina, oggi, una più tecnologica e-mail per raccontare da dove si è riusciti ad ascoltare una radio ![]() A raccontarlo è Marko Brask che scrive a Radio Onda Ligure 101 ed inoltre il suo “RAPPORTO DI ASCOLTO”. Buon giorno e saluti dalla Finlandia meridionale ! Mi chiamo Marko Brask, ho 47 anni e vivo nella città di Espoo. La città di Espoo è seconda in grandezza in Finlandia e si trova vicino ad Helsinki - la capitale della Finlandia. Vi scrivo, poiché con mia grande felicità ho avuto la possibilità di ascoltare la Vostra emittente qui in Finlandia !!! Vi ho ascoltato il giorno 21 giugno 2015. L'ora Italiana era le 20:46, la frequenza di 101.00 MHz modulazione di frequenza FM. E dimostra quanto riferito inoltrando la documentazione sonora attraverso un mp3. Il mio ricevitore è sintetizzatore al quarzo SONY SA-5ES, uso due FM-antenne tipo di "Yagi" di 13-elementi. Il mio hobby preferito è il "radioascolto" - caccia delle emittenti esteri in FM. FMDX è un hobby molto appassionate. Abitualmente l'ascolto emittenti estere in FM , ma ciò è possibile solo nel periodo compreso tra i mesi di maggio e settembre, grazie a particolari condizioni dello strato ionizzato (Sporadic-E) e tale strato permette normalmente una ricezione di segnale posti a 2000 Km di distanza, ho cosi ' ascoltato varie emittenti FM comprese tra distanze di 1500-3000 Km. L'ascolto di stazioni varia da pochi secondi a vari minuti e la potenza del segnale ricevuto è anch'esso variabile e assai sovente è ad un livello quasi locale! L’appassionato radioamatore chiede poi conferma direttamente a Radio Onda Ligure 101 di ascoltare quanto registrato per fargli sapere se il “rapporto di ascolto” è corretto. Dopo le verifiche effettivamente si è potuto riscontrare che Radio Onda Ligure è stata ascoltata anche in Finlandia e, naturalmente l’emittente ha provveduto a rispondere e ringraziare lo straniero ascoltatore. Tratto da:www.savonanews.it/2016/01/24/leggi-notizia/argomenti/curiosita/articolo/radioamatori-a-caccia-di-frequenze-radio-onda-ligure-ascoltata-in-finlandia
Ore 21.10 - MONTALTO LIGURE (IM): UNA PETIZIONE PER RIMUOVERE IL RIPETITORE RAI. La petizione è stata inviata a ‘Rai Way’, la società dell’ente di Stato che si occupa dell’installazione e della manutenzione dei ponti radio in tutta Italia per viale Mazzini. Da anni c'è una grande antenna a ridosso del centro storico di Montalto Ligure, piccolo borgo medievale della Valle Argentina ancora autentico e potrebbe rientrare a scopo turistico nei Borghi più belli d'Italia o fregiarsi della Bandiera arancione del Touring. Secondo Giovanne De Andreis, che ha lanciato una petizione sul sito change.org “Tutto questo non è stato mai possibile a causa di questa antenna che deturpa il paesaggio in modo molto pesante. Oltre naturalmente agli effetti sulla salute per la vicinanza alle case di onde elettromagnetiche”. La petizione è stata inviata a ‘Rai Way’, la società dell’ente di Stato che si occupa dell’installazione e della manutenzione dei ponti radio in tutta Italia per viale Mazzini. Il ripetitore di Montalto, oltre a servire gli impianti televisivi del piccolo paese, viene utilizzato per captare le immagini del digitale terrestre anche da paesi limitrofi. Tratto da: www.sanremonews.it/2015/12/17/leggi-notizia/articolo/montalto-ligure-una-petizione-per-rimuovere-il-ripetitore-della-rai-che-serve-il-piccolo-borgo
Ore 21.45 - MUX TELESTAR (PIEMONTE) /(LOMBARDIA) / (LIGURIA): OK SHOP SU VETRINA 7 GOLD. Nel mux TELESTAR (LOMBARDIA) il canale denominato VETRINA 7 GOLD (LCN 227) trasmette ora la programmazione di OK SHOP nella modalità MPEG-4 H264, sintonizzabile solo con gli opportuni ricevitori. Il canale commerciale VETRINA 7 GOLD pertanto non è più on air. ![]() ![]() Nel mux TELESTAR (PIEMONTE) sulla LCN 227 è stato inserito VETRINA 7 GOLD sempre in modalità MPEG-4 H264. Nonostante l'identificativo è in onda la programmazione con il logo OK SHOP. Anche nel mux TELESTAR (LIGURIA) è stata inserita VETRINA 7 GOLD (LCN 227) in MPEG-4 H264. Come avviene in LOMBARDIA e PIEMONTE la programmazione on air è quella di OK SHOP.
Ore 11.00 - MUX TELECITY (PIEMONTE) / (LOMBARDIA) / (LIGURIA): ELIMINATI OK ITALIATV1, SUPERTENNIS E RADIO ZETA. UHF 45 Mux TELECITY (PIEMONTE) A - ALESSANDRIA/UHF 45 Mux TELECITY (PIEMONTE) B - TORINO
UHF 45 Mux TELECITY (LOMBARDIA) UHF 24 Mux TELECITY (LIGURIA) Nel mux TELECITY versione PIEMONTE, LOMBARDIA e LIGURIA sono stati eliminati OK ITALIATV1 (LCN 163), Supertennis (priva di numerazione automatica) e Radio Zeta (LCN 703). ![]() Ricordiamo che OK ITALIATV1 è ora veicolata nel provider nazionale RETE A Mux 2 sempre sulla LCN 163. SUPERTENNIS (LCN 64) è passata sul TIMB Mux 2, mentre Radio Zeta è ora in onda nel TIMB Mux 1 sulla LCN 737 identificata R-ZETA ITALIANA.
![]() ![]() ![]()
Ore 23.15 - MUX PRIMOCANALE: DA GENNAIO SARA' ELIMINATA CIELO. Novità in vista per il mux ligure PRIMOCANALE che sulla LCN 26 veicola il canale nazionale targato Sky Italia cielo. Dal
prossimo gennaio questo provider eliminerà il canale in questione che
sarà trasmesso (come avviene nel resto della Penisola) esclusivamente da RETE A Mux 1 che in LIGURIA è in onda sulla frequenza UHF 32. Dalla sede di PRIMOCANALE ci informano che all'emittente milanese del gruppo Murdoch sarà tolta la numerazione automatica quindi nei giorni a seguire verrà definitivamente eliminata dal locale provider. Pertanto dal prossimo gennaio, se risiedete in LIGURIA e se il canale cielo non fosse più visibile, occorrerà risintonizzare il TV o decoder per ritrovarla al consueto numero 26 del telecomando. ![]() Il call center è attivo dal lunedì al venerdì dalle ore 10.00 alle 20.00 mentre il sabato e la domenica è operativo dalle ore 11.00 alle 18.00. Il numero da contattare è 800.432.911. ![]() ![]()
Ore 15.45 - NUOVO RIPETITORE DI TELE VARAZZE SUL MONTE ZUCCHERO. Dopo
mesi di estenuanti pratiche burocratiche e di prove tecniche, con la
partecipazione dell’Amministrazione comunale attuale e precedente e la
collaborazione dello staff di TeleVarazze, è stato attivato, un nuovo
ripetitore sul Monte Zucchero (Cournà) che trasmette due programmi della
emittente cittadina. Il segnale del ripetitore del Monte Zucchero è fruibile dai cittadini delle frazioni di Casanova, Pero, Faje e Alpicella, selezionando i programmi LCN 89 e 190 del digitale terrestre UHF 22. Tratto da: www.savonanews.it/2015/11/12/leggi-notizia/argomenti/attualit/articolo/nuovo-ripetitore-di-tele-varazze-sil-monte-zucchero
Il
gruppo bergamasco Radio NumberOne ha completato l’acquisizione da Radio
19 del Gruppo Itedi (editori dei quotidiani La Stampa e Secolo XIX) di
Radio 19 e Radio19 latina.
Un comunicato del gruppo che fa capo a Sergio Gervasoni spiega che le due radio - che vanno a sommarsi a Radio Nostalgia già acquistata lo scorso anno - diffondono i propri programmi attraverso 21 impianti in Liguria e sono conosciute ed apprezzate dal pubblico per la qualità dei contenuti offerti e per il forte radicamento sul territorio. Il Gruppo Radio NumberOne grazie a questa nuova acquisizione rafforza ulteriormente la propria leadership nel Nord Ovest. Inoltre il Gruppo NumberOne consolida la partnership con Publikompass, che già gestisce la raccolta pubblicitaria dei clienti locali di tutte le emittenti del gruppo in Piemonte, Liguria e Valle d’Aosta, affidando alla Concessionaria la raccolta e lo sviluppo commerciale anche di Radio 19 e di Radio 19 Latina. Publikompass proporrà agli investitori liguri l’innovativa proposta PK Pool, che, raggruppa le radio leader dell’area, iniziativa che ha già riscosso un grandissimo successo in Piemonte. La formula Pk Pool mette a disposizione dei clienti un network a livello locale di radio di primo piano, in grado di fornire al meglio i tre elementi voluti dal pubblico: musica, conduzione e attualità, con il valore aggiunto di un consolidato radicamento sul territorio. L’insieme di questi elementi permette non solo di raggiungere i target prescelti ma anche la massima efficacia nello sviluppo di campagne di advertising locali, formulate ad hoc in accordo con le reali esigenze degli investitori. Tratto da:www.bergamonews.it/cultura-e-spettacolo/radio-numberone-acquista-radio-19-liguria-e-radio-19-latina
Ore 08.10 - IN UN QUARTIERE DI VENTIMIGLIA NON ARRIVA IL DIGITALE TERRESTRE, LA CONSEGUENZA? E' BOOM DEMOGRAFICO ! In mancanza di programmi televisivi interessanti, o in alcuni casi, in mancanza totale di ricezione, gli abitanti di Torri passano le serate in modi alternativi. Torri è una frazione di Ventimiglia di circa 280 abitanti, in cui negli ultimi 10 anni si è registrato un boom di nascite da record: ben 47 che equivale ad oltre il 16% della popolazione. Quali sono le cause di una fertilità così prodigiosa all'interno di una località così piccola? Un clima particolarmente adeguato? Una esposizione particolare agli influssi lunari? Una qualche sorgente che aiuta la procreazione? In realtà pare che le motivazioni siano da ricondurre ai problemi di segnale del digitale terrestre. In mancanza di programmi televisivi interessanti, o in alcuni casi, in mancanza totale di ricezione, gli abitanti di Torri passano le serate in modi alternativi, il che ha contribuito ad aumentare a dismisura il numero delle nascite. “Per quanto riguarda il digitale terrestre effettivamente il ponente della città' non è servito in modo adeguato: a Torri, Calvo, San Pancrazio, Bevera, Trucco, Porra e in altre località la ricezione è un disastro. Le località sopracitate fanno parte di una zona industriale, commerciale e artigianale, compresa in quella franca urbana da noi ottenuta nel 2010 e il cui progetto purtroppo ancora oggi non è partito. Su ciò ha ovviamente influito lo scioglimento e commissariamento del Comune. A suo tempo avevo richiesto agli organi competenti di attivarsi in quanto almeno 10.000 abitanti non erano forniti dal digitale terrestre. Certo sulle fantastiche nascite di Torri, oltre alla mancanza di segnale, hanno influito anche gli arrivi, particolarmente prolifici nella frazione, di molti stranieri: Albanesi, Romeni, Tunisini, Marocchini, Francesi, e altri. Un vero piacere, perché i bambini sono il futuro” è stato il commento dell'ex sindaco Gaetano Scullino. A questo problema storico della ‘zona buia’ della Val Bevera alla fine degli anni ’90 si era cercato di sopperire tramite il ripetitore di un privato sito in Monte Pozzo, i paesani avevano deciso di autotassarsi per pagare al privato la manutenzione. “Una sorta di canone coattivo – ricorda sorridendo Perrone del comitato di quartiere – ero arrivato a stabilirmi qui proprio in quegli anni e non avevo fatto nemmeno in tempo a scendere dalla macchina che gli altri abitanti mi informarono di questa ‘tassa tv’ così particolare”. Anche l’Amministrazione in quell’epoca intervenne stipulando una convenzione con Rai e Mediaset i quali si impegnarono a coprire le spese del ripetitore. Dopo anni, con la morte del privato, non fu più possibile usufruire del servizio e ad oggi l’unica soluzione rimane quella di dotarsi della tv satellitare con parabola. “Un’annata sicuramente buona quella del 2005 – conferma Mauro padre di un bambino nato proprio in quell’anno – mi ricordo che ci furono 7 nascite e da quell’anno sembra che Torri si stia ripopolando a vista d’occhio”. Il boom demografico lo conferma anche Erika con i suoi due figli di 3 e 6 anni che ridendo dice: “Noi però la televisione ce l’abbiamo… sarà l’aria buona!” Giuseppe ed Elisabetta, lei incinta, già genitori di un bambino di 5 anni invece dicono di aver scelto Torri per allontanarsi dal caos cittadino e vivere un ambiente familiare nella tranquillità della vita di paese. Opzione condivisa anche da Silvia, mamma di un bambino di tre anni e di uno di quattro mesi, che si sente più serena in questo paesino ritenendolo molto più sicuro per i propri figli rispetto ai centri urbani. “Anche noi abbiamo il satellite e il paese d’estate propone sempre diverse manifestazioni però si sa che l’inverno è lungo e freddo…” scherza infine con malizia Noemi, mamma di una bambina di due anni, mentre si prepara al prossimo parto che è ormai questione di giorni. Tratto da: www.sanremonews.it/leggi-notizia/argomenti/altre-notizie/articolo/torri-di-ventimiglia-un-boom-demografico-da-record-e-il-segnale-del-digitale-terrestre-assente-sar
Ore 16.40 - TELENORD LICENZIA DUE GIORNALISTI.
GENOVA – “Questa volta tocca a due colleghi di Telenord: hanno ricevuto la lettera di licenziamento da parte dell’emittente televisiva. ![]() “Frutto di una miopia che non è solo delle aziende, ma degli stessi colleghi e della società. Il ricambio generazionale del mercato del lavoro è la base della sopravvivenza di una professione e della previdenza dei colleghi, ma l’intreccio di egoismi e convenienze sta bruciando il futuro di una generazione di giornalisti. Di prove, in Liguria, ce ne sono quante se ne vogliono: ex vice direttori, da tempo in quiescenza, di importanti quotidiani che collaborano a pezzo; prepensionate di quotidiani nazionali che si presentano imperterrite alle conferenze stampa; uffici stampa opzionati da colleghi da tempo usciti dal mondo del lavoro. Per arrivare infine al dibattito di oggi, giovedì 15 ottobre, organizzato da ‘Sinistra e Lavoro’, intitolato ‘Il lavoro e i diritti per ricostruire la sinistra’ e moderato da una giornalista pensionata che fa parte della folta schiera dei colleghi che si rifiutano di lasciare il passo: non c’è che dire, un bel segnale. I giornalisti disoccupati e precari sentitamente ringraziano”, conclude Costante. (Ansa) Tratto da:www.giornalistitalia.it/telenord-licenzia-due-giornalisti
Ore 17.50 - GIACOMELLI A PRIMOCANALE: "AIUTARE LE TV LOCALI CHE FANNO SERVIZIO PUBBLICO". GENOVA - “Lo Stato deve premiare le emittenti locali che offrono un servizio pubblico”. Il succo è qui: una svolta decisiva, quella annunciata da Antonello Giacomelli, sottosegretario allo sviluppo economico intervistato in esclusiva da Primocanale. Riforma Rai, sinergie con le tv private, la guerra delle frequenze e quella degli uffici postali: temi caldi quelli affrontati durante la diretta condotta da Mario Paternostro. TV LOCALI: AIUTARE CHI FA SERVIZIO PUBBLICO – “Tv come Primocanale – ha detto Giacomelli – sono in prima linea durante le emergenze, svolgono un servizio fondamentale per i cittadini in momenti drammatici e nella quotidianità. Esistono esempi virtuosi come questo in molte città servizio per i cittadini e servizio sociale fortissimo. Alcuni editori mirano ai contributi col solo scopo di mandare in onda televendite: si pensi che basta avere dipendenti, ma non è necessario che siano giornalisti. Altri, invece, investono in professionisti per offrire un’informazione puntuale e di qualità. A chi fa questa scommessa bisogna riconoscere la certezza di contributi pubblici. Ci vuole un meccanismo certo in base a criteri obiettivi. Basta fedeltà al potente di turno, non è possibile premiare tutti allo stesso modo. Realtà come queste meritano di essere sostenute anche perché creano ricchezza e posti di lavoro e garantiscono un vero pluralismo dell’informazione”. Oltre ai contributi, potrebbero arrivare importanti tutele giuridiche: “C’è l’intenzione di riconoscere a chi rispetta certi requisiti la funzione di pubblico interesse”, precisa Giacomelli. RIFORMA RAI – Il tema dei contributi all’informazione locale si intreccia con la volontà di rivedere il meccanismo del canone Rai: “Ci eravamo impantanati al Senato sull’articolo 4. Ma l’idea è rimasta intatta: riformare il canone per il servizio pubblico, far sì che non sia più odioso, abbassare i costi per i cittadini e combattere l’evasione”. Ma la rivoluzione non passa solo dal canone: “Secondo noi, il servizio pubblico finora è stato, ripetitivo, uguale a se stesso. Fino a pochi anni fa andavano in onda i tre tg lottizzati secondo gli accordi del ‘75, roba da anteguerra. Oltretutto, la Rai non è stata centrale, ma un concorrente di Mediaset. La Rai deve recuperare la sua dimensione aziendale e le potenzialità di servizio pubblico. Servono più piattaforme per parlare tutti i linguaggi, entrare nella contemporaneità. I giovani devono poter accedere alle fonti storiche su YouTube. Meno politica e più impresa. Del resto, alle critiche e alle obiezioni non si risponde coi dati dell’auditel. Il servizio pubblico non vive con dittatura ascolti”. Poi dipinge possibili collaborazioni con le realtà locali: “Bisogna riscoprire la sinergia col mondo della creatività italiana, la Rai deve dialogare con le emittenti locali per offrire un servizio pubblico che entri nella vita delle persone”. RIFORMA FREQUENZE – “Quando abbiamo fatto lo switch-off sono state assegnate alle emittenti, in particolare quelle locali, tutte le frequenze assegnate all’Italia più altre rubate ad altri paesi. Si creano interferenze spiacevoli. Ne discuteremo a Ginevra insieme agli altri Paesi. Faremo coincidere la riforma con l’introduzione del T2, un sistema che raddoppia le reti sulla stessa frequenza. E poi è fondamentale dare frequenze in più alla telefonia, il mercato le chiede. MEDIASET VS SKY – “L’uscita di mediaset dalla piattaforma Sky è clamorosa, un terremoto. Ma possiamo comprendere cosa sta succedendo se alziamo lo sguardo. Siamo in mezzo a una trasformazione vera, che ha a che fare diversificazione fruizione televisiva, col ruolo incombente di servizi come Netflix e con la convergenza tra piattaforme e contenuti. Ognuno dei protagonisti del mercato si va riposizionando nel cambiamento in atto. Tra Sky e Mediaset era in corso una sfida per la pay tv, lo spazio di mercato in Italia è ridotto per due aziende" Tratto da:www.primocanale.it/notizie/giacomelli-a-primocanale-aiutare-le-tv-locali-che-fanno-servizio-pubblico
Ore 23.50 - IL VIDEO DI CHIUSURA DI SAMP TV. Tratto dal sito della Gazzetta dello Sport, vi mostriamo il video della chiusura di SAMP TV, avvenuta nei giorni scorsi. L'emittente blucerchiata era trasmessa in Liguria e in parte del Piemonte. ![]()
Ore 18.45 - DOMANI CHIUDE SAMP TV, SI TRASFERIRA' SUL WEB. Genova - Le voci che giravano da un po’ di tempo diventano realtà. Martedì
30 giugno sarà l’ultimo giorno per SampTV, il canale blucerchiato
lanciato dalla famiglia Garrone nell’agosto 2009, trasmesso sul digitale
terrestre in Liguria e Piemonte. Il contratto con il service che la
gestiva non verrà rinnovato. La notizia era appunto nell’aria ma adesso
c’è stata la conferma ufficiale. SampTv non andrà più in onda sul piccolo schermo ma non sparirà del tutto. Al suo posto verrà lanciata una web-tv che sarà gestita direttamente dalla Sampdoria continuando a seguire la squadra blucerchiata. Video e filmati si trasferiranno in pratica sul sito web. Nel motivare la sua decisione, la Samp fa sapere che la scelta è legata ai costi annui ritenuti eccessivi per questo canale che non ha pubblicità né può contare su altri introiti. Una cifra che si aggira sui 500mila euro l’anno e per quanto le sforbiciate dell’ultima gestione Ferrero abbiano già ridotto molto il budget è considerata ancora eccessiva. Ovviamente tra tifosi e dipendenti la notizia ha creato scalpore e polemiche. Matteo Monforte, opinionista e volto noto di SampTv, ha scritto su Facebook una lettera aperta al presidente Ferrero. «Da martedì - scrive Monforte - questa città non avrà più la voce della sua squadra del cuore. Io non so quali siano i reali problemi per cui Lei abbia deciso di scrivere “fine”, ma di certo non credo sia stato per motivi di gradimento, visti gli ottimi successi (almeno a giudicare dai numeri sui social) delle trasmissioni live e l’apprezzamento che il popolo blucerchiato ha sempre dimostrato. Avrà da ben dire, Lei, adesso, affermando che SAMPTV non morirà e anzi sarà promossa diventando nazionale e passando sul web! Ma, le ripeto, mi occupo di televisione da anni e sappiamo tutti e due che è solo uno specchietto per le allodole, che dal momento in cui una tv la si leva dal digitale terrestre per portarla sul web i numeri dei telespettatori crollano vertiginosamente (più o meno le proporzioni sono quelle di 1000 a 10) e a livello di marketing e potere d’informazione, è come non esistesse». Monforte esprime poi la preoccupazione per il futuro di chi lavorava per il canale tematico: «Questa città perderà anche un folto gruppo di grandi e seri professionisti che lavorava lì da anni con passione, che per la Sampdoria ha sempre messo la faccia e che ha quotidianamente dato voce e risposto alle domande di centinaia e centinaia di tifosi». Su questo fronte il club blucerchiato si è però detto intenzionato a cercare «di coinvolgere i dipendenti del service che lavoravano per Samp Tv nel progetto della webtv». Tratto da:www.ilsecoloxix.it/p/sport/2015/06/28/AR3gVpwE-trasferira_coda_titoli
Ore 14.00 - MUX TELECUPOLE (LIGURIA): ARRIVA PEOPLE TV RETE 7. UHF 27 Mux TELECUPOLE (LIGURIA) Nelle pagine della sezione LIGURIA IN DIGITALE abbiamo recentemente aggiornato la locale composizione del mux TELECUPOLE. In Liguria infatti l'emittente di Cavallermaggiore (CN) trasporta nel suo mux 5 canali TV. ![]() Rispetto alla nostra precedente rilevazione dello scorso anno, segnaliamo l'ingresso di People TV-Rete 7 sulla LCN 252. ![]() ![]() Rileviamo inoltre che nella versione ligure è ancora presente Telecupole piu 1 sempre sulla LCN 602. Nella versione piemontese questo canale è stato eliminato da diverso tempo.
![]() Sulla LCN 667 è stata eliminata TERRAMIA. Consulta la griglia dei canali e lo z@pping TV del mux TELECUPOLE (LIGURIA). Vi ricordiamo inoltre che nella sezione PIEMONTE IN DIGITALE è possibile consultare la composizione del mux TELECUPOLE (PIEMONTE).
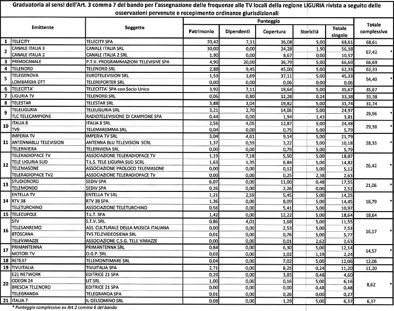
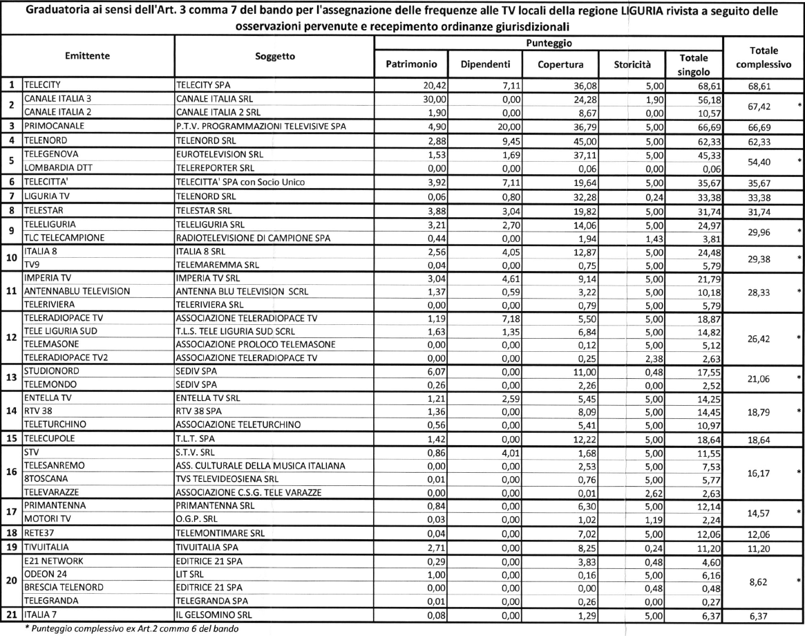
Ore 13.00 -PUBBLICATA LA NUOVA GRADUATORIA PER L'ASSEGNAZIONE DELLE FREQUENZE ALLE TV LOCALI IN LIGURIA. Sul sito web del Ministero dello Sviluppo Economico – Comunicazioni è stata pubblicata la nuova graduatoria per l’assegnazione delle frequenze alle Tv locali della regione Liguria. La graduatoria è stata rivista a seguito del recepimento di una pronuncia giurisdizionale. Il Ministero fa sapere che la revisione non ha comportato variazioni della graduatoria ma soltanto l’inserimento dell’Associazione Culturale della Musica Italiana, per l’emittente Telesanremo, nell’intesa collocata al 16°posto. Nuova graduatoria TV LOCALI LIGURIA
Ore 15.35 - PRIMOCANALE: 34 DIPENDENTI IN CASSA INTEGRAZIONE, ALLARME DEL SINDACATO. Genova - L’emittente Primocanale mette in cassa integrazione i suoi 34 dipendenti. Il ricorso all’ammortizzatore sociale in deroga è stato concordato dopo che l’azienda ha presentato una procedura, per il momento sospesa, di licenziamento collettivo per la riduzione di ben 13 unità tra tecnici e giornalisti. La giustificazione: la crisi morde, la pubblicità diminuisce, i contributi per l’editoria sono stati ridotti. ![]() In un comunicato, il segretario dell’Associazione ligure dei Giornalisti Alessandra Costante afferma: «Le misure di sostegno per l’emittenza televisiva locale (che pure hanno subito una contrazione) dovrebbero essere un aiuto alle aziende editoriali dell’emittenza televisiva privata, e non il pilastro dei loro bilanci; non può essere che l’entità dei finanziamenti pubblici sia messa in correlazione con il costo del lavoro di queste aziende. Ma al di là delle motivazioni addotte, la realtà dei fatti è che Primocanale ricorre agli ammortizzatori sociali (se non al licenziamento) per i dipendenti regolarmente assunti e consegna il suo palinsesto dei programmi giornalistici a pensionati, che sono collaboratori a vario titolo dell’emittente televisiva. Un modo di agire che appartiene anche ad altri. Nei giorni scorsi è stato licenziato da Telenord il collega Enrico Cirone, ma anche in quell’emittente televisiva continuano le collaborazioni di colleghi pensionati. È un danno per i colleghi dipendenti, che vedono sempre più a rischio il proprio posto di lavoro e quasi nessuna possibilità di ricollocazione nell’ambito del territorio ligure; un danno per l’Istituto di previdenza giornalistica, il cui monte contributivo è eroso anche da queste situazioni e che in futuro, probabilmente, sarà costretto a rivedere il suo sistema di welfare; un danno alla collettività che sempre più diventa “socia maggioritaria” di emittenti che hanno deciso di vivere di ammortizzatori sociali e di contributi pubblici. Ed è una ferita profonda al patto generazionale per cui il lavoro delle giovani generazioni serve a pagare la pensione di chi è uscito dal perimetro occupazionale. Continuando su questa strada, difficilmente potrà essere ancora mantenuto il patto su cui si regge il rapporto tra giovani lavoratori e pensionati». Tratto da: www.ilsecoloxix.it/p/genova/2015/01/16/ARDxZ2CD-primocanale_integrazione_sindacato
Ore 18.50 - NEI MUX COLLEGATI A 7 GOLD ARRIVA R101 TV. Novità nei mux regionali legati a 7 GOLD, da ieri ha fatto il suo ingresso la tv musicale R101 TV sulla LCN 167. Questa emittente resta per ora veicolata anche dal mux RETECAPRI sulla numerazione 66, ma l'ingresso nei mux regionali fa supporre che la tv musicale sia intenzionata a sganciarsi dal provider partenopeo. Resta l'incognita della pregiata numerazione 66 che potrebbe tornare nelle mani del precedente utilizzatore ovvero RadioCapriTelevisiON relegata al numero 520. Ma potrebbero essere pronte interessanti novità su altri canali in arrivo. ![]() Ricapitoliamo i provider locali, censiti da L'ITALIA IN DIGITALE, in cui da ieri ha fatto il suo ingresso R101 TV.
Ore 22.30 - LA SPEZIA: QUELLE ANTENNE PER IL 4G CHE OSCURANO LA TELEVISIONE. La Spezia - Gli esperti lo avevano previsto sino dalla fine del 2012 che quando nelle nostre città fossero stati attivati i ripetitori degli impianti di telefonia mobile di quarta generazione, il cosiddetto 4G o Lte, che porta Internet in banda ultra larga in mobilità su chiavette, smartphone e tablet, alcuni canali televisivi del digitale terrestre sarebbero stati disturbati se non oscurati. La previsione si è dimostrata esatta e ora anche alla Spezia fioccano le proteste da parte di utenti che vedono fortemente disturbati alcuni canali televisivi. Due anni fa si era calcolato che in tutta Italia le utenze televisive delle abitazioni private danneggiate dalla banda larga sarebbero state circa 700 mila. Non è dato sapere chi abbia effettuato la stima, quanto mai empirica, in quando il disturbo dipende dalla vicinanza dei nuovi ripetitori che vengono installati a catena e coprono cinque-sei palazzi, quindi la loro presenza è capillare e risulta particolarmente nociva in una città come La Spezia dove le antenne condominiali sono molto poche, mentre danneggia meno le utenze nelle grandi città, più ricche di antenne condominiali, visto che il costo di adeguamento dell’antenna propria o condominiale è pressochè identico. Per conoscere meglio il problema ed i possibili rimedi, abbiamo sentito un esperto. «È vero, è in corso l’installazione in tutta la città dei nuovi piccoli ripetitori della banda ultra larga Tim che operano sulla frequenza degli 800 megahertz che è adiacente ad alcuni canali televisivi – spiega Marcello Baldini della ditta Fratelli Baldini di piazza Ramiro Ginocchio da cui si servono molti antennisti - e sono parecchi gli utenti televisivi che hanno lamentato disturbi nella ricezione di alcuni canali. Bisogna dire che il disturbo generato dagli impianti 4G non colpisce tutti gli apparecchi TV di una determinata zona, quindi pensiamo che, visto che i nuovi ripetitori sono installati o in fase di installazione su moltissimi condomini, il disturbo colpisca a macchia di leopardo. Oltre ad apposite antenne sono stati messi a punto dei filtri che bisogna collegare alla propria antenna. Un lavoro di per sè molto facile che ognuno potrebbe essere in grado di effettuare da solo, ma con le antenne sul tetto e per una maggiore sicurezza individuale è quasi inevitabile rivolgersi ad un antennista». Il costo, calcolato sui 30 euro per il filtro e sui 50 per l’intervento manuale, potrebbe aggirarsi sugli 80 euro ad antenna. «Certo i condomini dei palazzi che dispongono di antenna condominiale non si accorgeranno neppure della spesa – aggiunge Baldini - diverso per il singolo utente che dovrebbe affrontare l’intero costo. Il problema sta nascendo ora e sarebbe bene che, per venire incontro alle esigenze di una popolazione anziana con tanti pensionati al minimo, le associazioni di categoria degli antennisti, che già in passato si sono dimostrate disponibili, praticassero un prezzo politico a determinati utenti». Quindi tutto è nato dall’uso della frequenza 800, una delle tre su cui viene attivo in Italia il 4G, che è adiacente ad alcuni canali televisivi che vengono disturbati dai nuovi impianti, la cui attivazione su questa frequenza avviene soprattutto da parte di Wind , che è quella con le frequenze più vicine ai canali della tv digitale terrestre, ma anche da Tim e Vodafone . Alla Spezia i disturbi si stanno verificando proprio per i nuovi ripetitori Tim che, parziale ristoro, hanno un’ irradiazione elettromagnetica inferiore a quella delle grandi antenne che vanno a sostituire. Tratto da: www.ilsecoloxix.it/p/la_spezia/2014/11/20/ARWdKxcC-televisione_antenne_oscurano
Ore 12.40 - TELEGENOVA COLPITA DA ALLUVIONE, MESSA IN ONDA RIDOTTA. Il nostro lettore Carlo della Liguria ci ha inviato pochi istanti fa delle immagini di TeleGenova (LCN 18) dove campeggia in sovraimpressione la scritta fissa: TELEGENOVA COLPITA DA ALLUVIONE, MESSA IN ONDA RIDOTTA. Al momento non abbiamo ulteriori notizie sui danni subìti dalla tv ligure. ![]()
Ore 21.50 - BURLANDO (PRES. REGIONE LIGURIA) FUORI ONDA A PRIMOCANALE: "FARETE UNA BRUTTA FINE".
![]() Burlando: mi scuso, non dovevo dirlo. Claudio Burlando, interpellato in merito a quanto è accaduto, si scusa per la frase ("Ho sbagliato, non dovevo dirlo, siamo tutti sottoposti da giorni e giorni ad una pressione fortissima, ma il presidente della Regione non deve farlo" e rimarca che non c'era alcuna intenzione di minaccia da parte sua, ma solo "la constatazione che un atteggiamento così ripetutamente aggressivo sicuramente non porta consensi, come mi confermano i tanti messaggi che ricevo". Giovedì sera, in diretta a "Servizio Pubblico" su La7, Burlando aveva replicarto seccamente alle accuse sempre più dure di Marco Travaglio che, alla fine, aveva lasciato lo studio della trasmissione diretta da Michele Santoro
Ore 22.25 - IL TG RIVIERA DEI FIORI TORNA SU TELESANREMO. Da ieri è ripartito il TG Riviera dei fiori che entra a far parte della rinata TeleSanremo, su un altro canale, il 216 del digitale terrestre. Il marchio lombardo può vantare uno dei migliori segnali televisivi per diffusione e qualità, e attraverso il mux di Tele Lombardia è in grado di coprire un territorio di 12 milioni di utenti, che va dall’intera Lombardia, al Piemonte orientale, fino al Veneto e alle province di Parma e Piacenza. Dal febbraio scorso gli editori lombardi hanno puntato anche sulla Liguria attraverso il marchio storico di TeleSanremo, che trasmette sul canale digitale terrestre 216, sul quale da ieri va in onda il notiziario TG Riviera dei Fiori. "Una nuova avventura per noi - evidenzia la direzione dell'emittente - impegnativa, con editori importanti, i due soci del gruppo Gianni Arrigone e Marco Pugno che ci garantiscono la massima libertà editoriale, la stessa che abbiamo avuto per quattordici lunghi anni con l'editore di TeleNord Massimiliano Monti al quale va tutta la nostra riconoscenza. Da parte nostra, del TG Riviera dei fiori, l'impegno a continuare a fornire quel servizio di informazione televisiva al quale il nostro pubblico è abituato". Tre le edizioni del 'Tg Riviera dei Fiori', alle 19.30, 20.30 e 23, con un’appendice ogni mattina alle 7.40 con la Rassegna Stampa condotta da Paolo Barni: le ultime notizie, i servizi e le pagine delle principali testate giornalistiche locali. E poi il meteo di Achille Pennellatore, le rubriche e gli approfondimenti con ospiti in studio, per un’informazione a 360 gradi su Sanremo e sul Ponente ligure.
Ore 09.20 - RINASCERA' IN LIGURIA TELE MONTECARLO ? ![]() Questo è il link della pagina facebook di TELE MONTECARLO: https://www.facebook.com/pages/TeleMontecarlo-Italia/658465380898785. ![]() 12 MAGGIO 2014 - Lunedì Ore 10.50 - MUX TELECITY (LIGURIA): ARRIVA TELEITALIA. Anche nella versione ligure del mux TELECITY è stato inserito TELEITALIA sulla LCN 225. Abbiamo aggiornato la griglia dei canali e lo z@pping TV del mux TELECITY LIGURIA.
![]() 11 MAGGIO 2014 - Domenica Ore 22.45 - MUX TELESTAR (PIEMONTE) / MUX TELESTAR (LOMBARDIA) / MUX TELESTAR (LIGURIA): ARRIVA OK TV, ELIMINATA ITALIA TV. Nella versione piemontese, lombarda e ligure del mux TELESTAR è stata recentemente inserita l'emittente OK ITALIA sulla LCN 170, mentre è stata eliminata ITALIATV che occupava la LCN 179. Mentre effettuavamo le nostre rilevazioni abbiamo intercettato uno spot dei canali OK ITALIA, TELEITALIA e GALAXY TV, vi alleghiamo qui sotto le immagini. Abbiamo aggiornato la griglia dei canali e lo z@pping TV dei mux TELESTAR (PIEMONTE), TELESTAR (LOMBARDIA), TELESTAR (LIGURIA). Consulta anche la lista LCN MILANO e la lista LCN TORINO. ![]() ![]() 15 APRILE 2014 - Martedì Ore 16.00 - MUX TELESTAR (PIEMONTE) / MUX TELESTAR (LOMBARDIA) / MUX TELESTAR (LIGURIA): ELIMINATA UTELIT TV (ROMIT TV). UHF 41 Mux TELESTAR (PIEMONTE) UHF 41 Mux TELESTAR (LOMBARDIA) UHF 51 Mux TELESTAR (LIGURIA) Dal mux TELESTAR versione PIEMONTE, LOMBARDIA e LIGURIA è stata eliminata UTELIT TV che occupava l' LCN 246. UTELIT TV trasmetteva con il logo di stazione di ROMIT TV che manda in onda a sua volta per la maggior parte della giornata emittenti della Romania. In alcune fasce orarie è presente anche una programmazione autoprodotta. Ricordiamo che questa emittente è ancora veicolata sulla LCN 246 dal provider RETECAPRI ed identificata proprio ROMIT TV. Essa viene anche trasmessa dal mux TIVUITALIA (identificata Romit TV) sempre sulla LCN 246 ma nell'area torinese e genovese questo provider non è presente. ![]() 10 APRILE 2014 - Giovedì Ore 13.15 - IMPERIA: DISSEQUESTRATI GLI APPARATI DI RADIO 103 SUL MONTE FAUDO, RIACCESE ANCHE LE ALTRE EMITTENTI. Tutte le radio hanno acquistato nuovi apparati e riacceso le frequenze ad eccezione di Radio Amicizia. E' arrivato il primo provvedimento di dissequestro dei ponti radio, 'spenti' dalla Polizia Postale il 21 marzo scorso sul Monte Faudo, alle spalle di Imperia, a seguito di una querela per 'violazione di domicilio', presentata dalla Curia di Albenga, proprietaria della chiesetta dove sono sistemati gli apparati trasmittenti. Nove le emittenti radiofoniche coinvolte, tra network nazionali e radio locali, oltre ai ponti ripetitori di alcune società che si occupano di sicurezza. A seguito di una serie di esposti presentati, tra cui una serie di associazioni della Val Prino, gli agenti della Postale hanno sequestrato gli impianti, ordinandone il relativo spegnimento. Nell'ambito dell'inchieste c'era anche una denuncia della Curia per occupazione abusiva ed erano state spente le emissioni in Fm di Radio Amicizia, Rtl 102.5, Radio Valle Belbo e Radio Kiss Kiss oltre ai ponti di trasferimento di Radio 103. Da diversi giorni tutte le emittenti hanno riacceso i propri ponti radio da un'altra postazione e con altri apparati, ad eccezione di Radio Amicizia ma il dissequestro degli apparati di Radio 103 potrebbe portare ad una ulteriore serie di dissequestri anche per le altre emittenti. Tratto da: www.sanremonews.it 5 APRILE 2014 - Sabato Ore 18.00 - MUX TELECUPOLE (PIEMONTE) - (LIGURIA): ELIMINATO IL LOGO DI TELECUPOLE SU TERRAMIA. UHF 23-42 Mux TELECUPOLE (PIEMONTE) UHF 27 Mux TELECUPOLE (LIGURIA) Su TERRAMIA, trasmesso dal provider TELECUPOLE con la LCN 623 in Piemonte e 667 in Liguria, è stato eliminato il logo di TELECUPOLE che era posizionato a sinistra dello schermo che riportava inoltre la scritta LCN 623. Attualmente in video è presente solo il logo di TERRAMIA posizionato come sempre in basso a destra. Abbiamo aggiornato lo z@pping TV dei mux TELECUPOLE (PIEMONTE) e TELECUPOLE (LIGURIA). ![]() ![]() Logo usato precedentemente in basso a sinistra 25 DICEMBRE 2013 - Mercoledì Ore 18.30 - MUX PRIMANTENNA (LIGURIA): ARRIVANO JUKEBOX TV E CANALE ARTE, ELIMINATA CASA TV. Dopo aver inserito nelle pagine di PIEMONTE IN DIGITALE la nuova composizione del mux PRIMANTENNA (PIEMONTE) ci spostiamo nella sezione LIGURIA IN DIGITALE per aggiornare la configurazione del mux PRIMANTENNA (LIGURIA). Sono stati inseriti i canali RADIO JUKEBOX TV sulla LCN 198 (sotto il logo di stazione di questa tv musicale è presente anche quello di PRIMANTENNA)
e Canale Arte sulla LCN 665, mentre sono stati eliminati Casa Tv che si
posizionava sulla LCN 198 e MotoriTv+1 che aveva la LCN 666. Consulta
lo z@pping TV e la griglia dei canali dove sono inseriti i parametri
tecnici e le principali postazioni del mux PRIMANTENNA (LIGURIA). ![]() ![]() ![]() ![]() ![]() ![]() ![]() 21 DICEMBRE 2013 - Sabato Ore 13.55 - JUKE BOX TV ARRIVA IN PIEMONTE E LIGURIA. E' partita il 20 Dicembre nel Nord Italia iniziando dal Piemonte (LCN 192) e Liguria (LCN 198) la nuova avventura di JUKE BOX TV. Mentre il progetto Business Channel è partito da Sud per espandersi verso Nord, Sicilia (LCN 299), Calabria (LCN 272) e Puglia (LCN 662), con JUKE BOX TV si segue invece l’itinerario inverso, partendo dal Piemonte e dalla Liguria; infatti il 20 dicembre sono partite le trasmissioni nelle due regioni per scelta dal suo editore Annibale Notaris, visto il grande successo di Radio Juke Box che in soli pochi anni è diventata la radio più ascoltata in Piemonte con oltre 130.000 ascoltatori al giorno. Da ieri quindi la prima televisione Telematica (di origini calabresi) sbarca nel Nord Italia JUKE BOX TV. Gruppo Adn Italia ![]() 13 DICEMBRE 2013 - Venerdì Ore 22.50 - MUX RTV 38 (TOSCANA) (UMBRIA) (LIGURIA): ELIMINATA TELEITALIA. UHF 41 Mux RTV 38 (TOSCANA) UHF 41 Mux RTV 38 (UMBRIA) UHF 48 Mux RTV 38 (LIGURIA) Dal provider RTV 38, diffuso in Toscana, Umbria e parte della Liguria (con numerazioni LCN assegnate in base alle rispettive regioni), è stata recentemente eliminata TELEITALIA che si posizionava sull' LCN 225. Abbiamo aggiornato le griglie dei canali e gli z@pping TV dei muxRTV 38 (TOSCANA), RTV 38 (UMBRIA) e RTV 38 (LIGURIA). ![]() 11 DICEMBRE 2013 - Mercoledì Ore 10.35 - BABBOLEO NEWS: SENZA GIORNALISTI LA RADIO NON C'E' PIU'. Il segretario dell’Assostampa ligure Alessandra Costante: “L’emittente continua a fare informazione con personale senza contratto”. GENOVA – Crisi aziendale, licenziati, in attesa della sanatoria degli arretrati della cassa integrazione in deroga, vertenza sindacale aperta. La redazione di Babboleo news non esiste più con i licenziamenti decretati dalla proprietà dopo mesi di confronti e proposte da parte dei colleghi e della Associazione Ligure dei Giornalisti. Colleghi che si trovano ora assistiti dalla disoccupazione, ma in attesa da oltre un anno del saldo degli arretrati. L’emittente però continua, con un escamotage, a produrre informazione con personale, in qualche caso iscritto all’Ordine professionale, ma senza un regolare contratto giornalistico di settore, con una doppia lesione di diritti e regole: dei licenziati e del contratto. Il caso di Babboleo, Telegenova fallita e affidata per alcuni mesi ad una nuova società di gestione dal curatore fallimentare, i contratti di solidarietà in atto a Primo Canale, le richieste di riduzione di stipendio a Tele Entella, la crisi di Telecity che potrebbe sfociare in contratti di solidarietà difensiva, la chiusura della redazione di Radio 19, ora affidata a un service giornalistico esterno, confermano la crisi del settore che colpisce sia i giornalisti sia il personale tecnico-produttivo coinvolgendo nei vari settori di produzione giornalistico e non giornalistico, una trentina di persone. Una crisi al cui interno ci sono però editori che scaricano sulla cassa previdenziale dell’Inpgi gli oneri delle ristrutturazioni, mantenendo poi però come nel caso di Babboleo, una continuità produttiva dell’informazione al di fuori del contratto giornalistico. Tratto da: www.giornalisticalabria.it/2013/12/10/babboleo-news-senza-giornalisti-la-radio-non-c'è 18 SETTEMBRE 2013 - Mercoledì Ore 23.35 - MUX LIGURIA TV - MUX TELENORD: ARRIVA RETE 79. I provider liguri LIGURIA TV e TELENORD, che trasportano i medesimi canali, aggiungono alla loro offerta l'emittente RETE 79 (LCN 79) che per la maggior parte della giornata trasmette la programmazione di JUWELO TV,
con programmazione a carattere commerciale. Come potete vedere dalle
immagini, scattate da Marco di Genova-Sampierdarena, il logo di RETE 79 è posizionato in basso a destra e risulta in parte fuori schermo. RETE 79 è anche presente con la medesima numerazione in altre regioni del nord Italia nel mux STUDIO 1. Abbiamo aggiornato le griglie dei canali e gli z@pping TV dei mux LIGURIA TV e TELENORD. 6 AGOSTO 2013 - Martedì Ore 10.15 - MUX ANTENNA BLU TV: AGGIORNATA LA GRIGLIA DEI CANALI E LO Z@PPING TV. UHF 34 Mux ANTENNA BLU TV Continuiamo ad aggiornare le composizioni dei provider locali, oggi nella sezione LIGURIA IN DIGITALE inseriamo i parametri tecnici di trasmissione del mux ANTENNA BLU TV, emittente genovese, che diffonde 6 TV e 2 radio: 16 - ANTENNABLU 116 - IMPERIA TV 173 - ANTENNABLUeventi 632 - ANTENNABLU sport 633 - ANTENNABLUmare 682 - PALCOTV - radio sportiva - Program 8 Consulta la griglia dei canali, con i dettagli tecnici, e lo z@pping TV del mux ANTENNA BLU TV. 27 GIUGNO 2013 - Giovedì Ore 20.20 - MUX TELETURCHINO: AGGIORNATA LA GRIGLIA DEI CANALI E LO Z@PPING TV. UHF 48 Mux TELETURCHINO Qualche giorno fa avevamo aggiornato la composizione del multiplex TELEMASONE VALLESTURA, oggi inseriamo i dati tecnici e nuove immagini nello z@pping TV del mux TELETURCHINO, emittente con sede sempre nella piccola località di Masone (Genova). Ecco i sei canali trasmessi: 72 - TeleTurchino 174 - TeleTurchino Extra 287 - TeleTurchino Doc 634 - TeleTurchino Cult (trasmette TeleTurchino) 635 - TeleTurchino Notizie (trasmette TeleTurchino Sapzio ai Sogni) 636 - TeleTurchino Sport (trasmette TeleTurchino) 26 GIUGNO 2013 - Mercoledì Ore 11.35 - MUX TELEGENOVA: AGGIORNATA LA GRIGLIA DEI CANALI E LO Z@PPING TV.
UHF 29 Mux TELEGENOVA Nella sezione LIGURIA IN DIGITALE procediamo ad aggiornare la griglia dei canali e lo z@pping TV del mux TELEGENOVA. Vediamo di seguito i canali trasmessi: 18 - TeleGenova
20 - RETE CAPRI 75 - TLC Telecampione 111 - TELEGENOVA 2 118 - TeleLiguria 122 - CAPRI STORE 128 - Gold TV Italia 129 - La 4 Italia 177 - Odeon 24 214 - TeleReporter 272 - Bravo TV 401 - Nitegate 1 402 - Nitegate 2 403 - Nitegate Vetrina Attraverso la nostra recente rilevazione abbiamo potuto campionare il logo di TELEGENOVA 2
(LCN 11) che non avevamo ancora nel nostro database, inoltre
TeleLiguria (LCN 118) trasmette con il numero della propria LCN scritto
in piccolo sopra il logo.
Consulta la griglia con i dettagli tecnici dei 14 canali sintonizzabili (12 free e 2 pay) e lo z@pping TV completo del mux TELEGENOVA. 19 GIUGNO 2013 - Mercoledì Ore 13.10 - MUX TELEMASONE VALLESTURA: AGGIORNATA LA GRIGLIA DEI CANALI E LO Z@PPING TV. La piccola località di Masone,
comune di circa 3.700 anime, è il più importante centro della valle del
torrente Stura. A Masone hanno sede ben due emittenti televisive. La
prima è TELETURCHINO che con il suo segnale arriva anche alle porte di GENOVA, la seconda è TELEMASONE VALLESTURA che trasmette da un'unica postazione sita nei pressi del cimitero del paese. Ecco i canali trasmessi: 74 - TM 641 - TM1 642 - TM2 Abbiamo aggiornato la composizione, la griglia e i parametri tecnici del mux TELEMASONE VALLESTURA, inserendo nello z@pping TV le immagini dei canali che abbiamo sintonizzato. Nei prossimi giorni effettueremo anche una rilevazione aggiornata del mux TELETURCHINO. Consulta anche la lista delle TV A MASONE (GE). 18 GIUGNO 2013 - Martedì Ore 12.50 - MUX IMPERIA TV: INSERITO LO Z@PPING TV. UHF 34 Mux IMPERIA TV Nella sezione LIGURIA IN DIGITALE aggiungiamo lo z@pping TV ed integriamo la griglia dei canali con i parametri tecnici del mux IMPERIA TV che trasporta i seguenti canali: 16 - Imperia TV
116 - Imperia TV news liguria 173 - ANTENNABLU 219 - Imperia TV doc liguria 617 - Imperia TV story liguria 618 - Imperia TV +1 Liguria Consulta i dettagli dei 6 canali, contenuti nell'apposita griglia, e le immagini con lo z@pping TV del mux IMPERIA TV. 14 GIUGNO 2013 - Venerdì Ore 12.15 - MUX TELECITTA': AGGIORNATA LA GRIGLIA DEI CANALI E LO Z@PPING TV. UHF 41 Mux TELECITTA' Aggiorniamo il provider ligure che si chiama ancora TELECITTA', ma i canali trasportati sono tutti del gruppo PRIMOCANALE, che da diverso tempo ha rilevato la rete di diffusione, che trasmette sulla frequenza UHF 41. Vediamo di seguito le emittenti presenti: 12 - Primocanale Sport 213 - Welcome 215 - Primocanale Sound 510 - Primocanale HD (trasmette in SD - Standard Definition) - Primocanale Per consultare i parametri tecnici e le immagini di tutti i canali trasmessi visualizza la griglia e lo z@pping TV del mux TELECITTA'. 13 GIUGNO 2013 - Giovedì Ore 16.30 - MUX TELECUPOLE (LIGURIA): IN ONDA ALCUNI LOGHI CON LE LCN DEL PIEMONTE. UHF 27 Mux TELECUPOLE (LIGURIA) Abbiamo effettuato una rilevazione in Liguria ed abbiamo monitorato il mux diffuso in questa regione dalla piemontese TELECUPOLE. Di seguito ecco i canali trasmessi: 94 - Telecupole 199 - Telecupole Story 602 - Telecupole piu 1 667 - TERRAMIA 668 - Telecupole Music Rileviamo che nella versione ligure è ancora presente Telecupole piu 1 (LCN 602) mentre in Piemonte è stato eliminato da alcuni mesi. Inoltre Telecupole Story (LCN 199) e TERRAMIA (LCN 667) sono trasmessi con il logo in basso a sinistra di Telecupole che riporta in piccolo il numero della LCN utilizzata in Piemonte, rispettivamente 116 e 623. Abbiamo inserito la griglia con i parametri tecnici e lo z@pping TV del mux TELECUPOLE (LIGURIA). 12 GIUGNO 2013 - Mercoledì Ore 11.25 - MUX PRIMOCANALE: CIELO E' SENZA EPG, AGGIORNATA LA GRIGLIA DEI CANALI E LO Z@PPING TV. Abbiamo effettuato una rilevazione dei canali trasmessi dal mux PRIMOCANALE. Come avevamo scritto qualche giorno fa il canale cielo (LCN 26), diffuso in Italia dal provider nazionale RETE A Mux 1,
è stato recentemente inserito in questo mux ligure. Come potete vedere
dall'immagine in basso non è presente l'epg (la guida elettronica dei
programmi) pertanto non è possibile, tra le altre cose, visualizzare il
titolo del programma in corso. 10 - Primocanale
11 - Primocanale TG24 26 - cielo 110 - Primocanale TG24 112 - Primocanale Primo Piano 512 - Primocanale Sport HD
Primocanale TG24 (LCN 11 - 110) e Primocanale Primo Piano (LCN 112) trasmettono senza il flag 16:9 (alcuni televisori eseguono automaticamente la conversione nel formato panoramico). 11 GIUGNO 2013 - Martedì Ore 11.45 - MUX LIGURIA TV - MUX TELENORD: AGGIORNATA LA GRIGLIA DEI CANALI E LO Z@PPING TV. Nella sezione LIGURIA IN DIGITALE aggiorniamo i parametri tecnici e lo z@pping TV dei mux LIGURIA TV, che opera in questa regione sull' UHF 21, e del mux TELENORD, che modula sull' UHF 43. La composizione dei due provider è identica, differisce il valore TID (il mux TELENORD ha il valore 17001, mentre LIGURIA TV ha il TID 17002), inoltre tra i due mux varia anche il valore PMT di BALLA ITALIA (LCN 609). Sono trasmessi 12 canali TV e 2 radio: 13 - TELENORD649 - LTV (schermo nero) 650 - LIGURIA SALUTE (schermo nero) - Radio Jeans Network - RADIO EVANGELO Per tutti i dettagli tecnici vi invitiamo a consultare la griglia dei canali e lo z@pping TV con tutti i loghi e le immagini dei mux LIGURIA TV e TELENORD. 31 MAGGIO 2013 - Venerdì Ore 11.05 - MUX PRIMOCANALE: E' STATO INSERITO CIELO. I nostri lettori della Liguria ci comunicano che è stato recentemente inserito nel mux PRIMOCANALE il canale cielo (LCN 26), già presente nel RETE A Mux 1 a diffusione nazionale. Evidentemente nel quartier generale di sky, che controlla il canale free cielo, hanno ritenuto che il provider PRIMOCANALE in Liguria possa garantire una migliore copertura di questa regione. Ricordiamo inoltre che prima dello switch off cielo era già diffuso proprio sulle frequenze di PRIMOCANALE. Infine vi segnaliamo che è stato eliminato dalla numerazione LCN 110 Primocanale Active, sostituito da una copia di Primocanale TG24, presente in questo multiplex anche nella posizione LCN 11. Abbiamo aggiornato la griglia dei canali e lo z@pping TV del mux PRIMOCANALE. 8 MAGGIO 2013 - Mercoledì Ore 14.50 - INCIDENTE PORTO GENOVA: LE ALL NEWS RITRASMETTONO PRIMOCANALE LIGURIA. Nella tarda serata di ieri una nave portacontainer, in uscita dallo scalo del porto di Genova, ha sbagliato manovra e ha urtato la torre piloti, in zona molo Giano. Le due principali emittenti all news che operano sul digitale terrestre, Rai News 24 (LCN 48) e TGCOM24 (LCN 51) hanno ritrasmesso per gran parte della nottata le immagini della tv genovese Primocanale che opera anch'essa sul digitale terrestre in Liguria, ma è presente anche su Eutelsat 13°est - canale sky 515. 7 MAGGIO 2013 - Martedì Ore 17.05 - TELEGENOVA RISORGERA ? Telegenova, o meglio la VIF che l'aveva acquistata dalla Profit di Raimondo Lagostena, è fallita come era inevitabile. Perché quando l'avvocato Gigi Zoboli (noto esponenente del Pdl) durante la prima udienza aveva assicurato al giudice, ovviamente perché glielo aveva detto il suo cliente) che si trattava solo di un momentaneo periodo di mancanza di liquidità, nessuno ci aveva creduto. Anzi altri dei 17 dipendenti si erano aggregati alla richiesta di fallimento, dopo aver saputo che così potranno prendere la liquidazione e gli ultimi tre mesi di stipendi. Telegenova aveva continuato a trasmettere qualcosa grazie al sacrificio di alcuni dipendenti: il regista Pierluigi Manfra, che aveva messo a disposizione il proprio archivio e i giornalisti Claudio Bollo e Guido Martinelli. L'avventura di Orlando Portento. Negli ultimi tempi era arrivato da Telenord Fabrizio Pianetti con una trasmissione dedicata ai tifosi, ma non era bastata per il salvataggio dell'emittente. Ora il curatore del fallimento spera che qualcuno si faccia avanti con un'offerta. Si parla di possibile investitori stranieri scovati dal giornalista-manager Salvatore Primicerio (in arte Primo Salvi) l'idea piace all'avvocato Enrico Clerici presidente di Tecnica Mista che da anni opera nel mondo dello spettacolo. Vedremo come andrà a finire.Ma al momento il pessimismo è d'obbligo. Tratto da: http://www.genova3000.it/index.php/notizie/857-telegenova-risorgera 12 APRILE 2013 - Venerdì Ore 13.20 - VALLECROSIA (IM): IN FUNZIONE IL RIPETITORE PER RICEVERE IL DIGITALE TERRESTRE IN VIA GARIBBE. VALLECROSIA (Imperia) - “Inviamo un ringraziamento al responsabile dell’ufficio del Comune – scrive il Comitato - che ha seguito l’iter di tutti i lavori eseguiti per tale scopo, va inoltre un ringraziamento alla scorsa Amministrazione che aveva deliberato il provvedimento”. Il Comitato dei Cittadini del quartiere di Via Garibbe a Vallecrosia conferma che, finalmente da circa una settimana, è funzionante il ripetitore per la ricezione TV digitale. “Inviamo un ringraziamento al responsabile dell’ufficio del Comune – scrive il Comitato - che ha seguito l’iter di tutti i lavori eseguiti per tale scopo, va inoltre un ringraziamento alla scorsa Amministrazione che aveva deliberato il provvedimento”. Tratto da: http://www.sanremonews.it/2013/04/12/leggi-notizia/argomenti/ventimiglia-vallecrosia-bordighera/articolo/vallecrosia-in-funzione-il-ripetitore 10 APRILE 2013 - Mercoledì Ore 12.40 - MUX SESTA RETE (PIEMONTE / LIGURIA) - MUX RETE 55 (LOMBARDIA): IL PROMO DI "AMICI ANIMALI". UHF 46 Mux SESTA RETE (PIEMONTE) UHF 53 Mux SESTA RETE (LIGURIA) Da qualche giorno nel mux di SESTARETE in Piemonte (sulla LCN 681) e Liguria (sulla LCN 192) e nel mux di RETE 55 in Lombardia (sulla LCN 295) sta andando in onda il promo di un nuovo canale, si tratta di AMICI ANIMALI.
Abbiamo caricato il video su YouTube, ve lo alleghiamo qui sotto. In
base a quanto si legge nel promo, il canale dovrebbe occupare l' LCN 248
ed essere a diffusione nazionale.
6 MARZO 2013 - Mercoledì Ore 10.30 - MUX NAZIONALI - MUX RETECAPRI: ATTIVATO L' UHF 57 DAL MONTE FASCE A GENOVA. UHF 57 Mux
RETECAPRI Da ieri i canali del mux nazionale RETECAPRI sono visibili anche nella città di Genova, infatti il multiplex caprese è stato attivato sulla frequenza UHF 57 dalla postazione del Monte Fasce nei pressi del capoluogo ligure. Abbiamo aggiornato la lista delle TV A GENOVA. Ringraziamo Marco di Genova per la segnalazione. 22 FEBBRAIO 2013 - Venerdì Ore 09.35 - NUOVO LOGO PER STUDIO ITALIA. L'emittente di televendite STUDIO ITALIA, sintonizzabile nei mux locali di alcune regioni con la numerazione LCN 225, ha cambiato il proprio logo, ora è simile a quello di ITALIA TV (LCN 179), altro canale che fa parte dello stesso gruppo editoriale. Qui sotto potete vedere le differenza anche con il precedente logo, quello al centro. In onda sotto il logo c'è sempre fisso in sovraimpressione la scritta SHOP IN TV. Questo l'elenco dei mux locali in alcune delle regioni in cui è presente STUDIO ITALIA (LCN 225): 14 FEBBRAIO 2013 - Giovedì Ore 10.00 - RUBANO MATERIALI TECNICI DELLE STAZIONI TV: DANNI PER MIGLIAIA DI EURO. Ennesimo furto di materiali tecnici in stazioni televisive del Levante Ligure. I furti sono avvenuti nelle postazioni di Cogorno e Costa dei Mosti poi a San Nicolao, sul passo del Bracco, e infine a Moneglia, al confine fra le province di Genova e la Spezia. Danni per migliaia di euro sono stati procurati alle emittenti Tele Genova, Entella Tv, Tele Pace, Tele Nord e La7. In tutti i casi sono state asportate apparecchiature specifiche per la trasmissione. Tratto da:http://www.cittadellaspezia.com 06 FEBBRAIO 2013 - Mercoledì Ore 22.15 - CAPO CERVO (IMPERIA): RUBATI RIPETITORI TV, BOTTINO DA 150 MILA EURO. IMPERIA - Danni per migliaia di euro per Imperia Tv, Rete A, Canale Italia, Telegenova e Tele Cupole. Gravi problemi di trasmissione per tutte le emittenti. Un colpo da veri professionisti quello messo a segno a Capo Cervo, sopra il parco del Ciapà, da una banda specializzata nel furto e nella rivendita di ponti di trasmissione e ripetitori in uso alla emittenti televisive che trasmettono con il nuovo segnale digitale. Secondo le prime ricostruzioni effettuate dai Carabinieri, accorsi sul posto su segnalazione di alcuni proprietari delle emittenti televisive, preoccupati per i gravi problemi di trasmissione verificatisi nella giornata odierna, potrebbe trattarsi di una banda internazionale che nei mesi scorsi ha già colpito in altre regioni d'Italia, quali Umbria e Lazio, compresa la Liguria, nello specifico a Genova e La Spezia. Le emittenti televisive che hanno subito i maggiori danni, il bottino complessivo del maltolto si aggirerebbe intorno ai 150 mila euro, sono Imperia Tv, Rete A, Canale Italia, Telegenova e Tele Cupole. Tutte emittenti locali, che hanno dovuto fare i conti con gravi problemi di trasmissione sia nel genovese che nel ponente ligure. Nessun danno, invece, per le apparecchiature di Mediaset e Rai, ovviamente più difficili da rivendere, a dimostrazione dell'accuratezza del colpo. Probabilmente le apparecchiature andranno ad arricchire il mercato dei Balcani e del Sud Italia, fortemente interessato allo smercio illegale del segnale digitale. Tratto da: http://www.puntoimperia.it/news/2013/02/06/capo-cervo-rubati-ponti-di-trasmissione-e-ripetitori-in-uso-a-emittenti-locali 14 DICEMBRE 2012 - Venerdì Ore 22.55 - FURTO DI RIPETITORI TELEVISIVI SUL MONTE PORCILE. Decine di ripetitori radiotelevisivi sono stati rubati la scorsa notte sul monte Porcile, in alta Val di Vara. Una banda di ladri ha sottratto le apparecchiature di proprietà delle emittenti Tele Liguria Sud, Primocanale, Telepace di Chiavari, Telecity e, in parte, Mediaset. Il bottino si aggira attorno ai 100.000 euro. Indagano i carabinieri. Ore 22.35 - "A.A.A. VENDESI TRALICCIO": L'EX SIP VUOL FARE CASSA. Genova - Vendesi traliccio con tanto di centralina di trasmissione e terreno vista città, al momento occupata ma in grado di assicurare un buon reddito. Per visite o informazioni rivolgersi a Prelios, ex Pirelli Re, ex gruppo Telecom quando la gestione dell’ex Sip era affidata a Tronchetti Provera. Prelios Agency vende i gioielli che furono di Telecom Italia, immobili di servizio che potrebbero rimanere tali oppure - questa è la prospettiva sottesa alle inserzioni messe in circolo dall’ex società immobiliare di Pirelli - potrebbero assumere le stesse destinazioni d’uso dell’intorno che ne caratterizza l’ubicazione, quasi sempre residenziali. L’ultimo “pezzo” dei guai della Telecom del periodo 2001-2006 (quello dello scandalo Telecom-Sismi) arriva sul mercato di mezzo Paese sottoforma di immobili che Prelios oggi si trova costretta a cedere al miglior offerente. Immobili che già furono oggetto di uno scandalo non da poco, quando da Telecom passarono a Pirelli Re (parliamo di beni immobili per un valore di 3,8 miliardi) per poi essere affittati a prezzi non proprio di mercato alla stessa Telecom, che ancora oggi ne utilizza gran parte. Ora le vecchie centraline si aprono al mercato. Si tratta di edifici, prati, antenne e centrali telefoniche sparse per la provincia di Genova per un valore di una quindicina di milioni di euro. Uno dei pezzi più pregiati dell’intero patrimonio messo in vendita da Prelios Agency (“evoluzione” ed erede delle proprietà di Pirelli Re) in Italia si trova a Rapallo, e più precisamente in via Santa Maria 40. È una palazzina costruita in piena epoca Sip, quasi quarant’anni fa, cinquemila metri quadri di palazzina con circa 3mila metri quadri di contorno. Costa 5,6 milioni di euro, e chi lo volesse non potrà pensare di risolvere subito il contratto con l’inquilino (Telecom), che lo potrà occupare ancora per tre anni, opzionabili di ulteriori sei. Dopo la scadenza, però tutto potrà succedere (e non per niente nella scheda di vendita si specifica «la proprietà si trova a poche centinaia di metri dall’uscita del casello»), e comunque nel frattempo l’investimento frutterà una bella cifretta, più precisamente 326 mila euro l’anno di canone. La vicinanza all’autostrada e la conformazione dell’intorno, quasi sempre composto da appartamenti, viene sottolineata anche nella descrizione di altri lotti. Per esempio sulla palazzina di via Frugone a Busalla (costo 600mila euro), «facilmente raggiungibile dalla A7». Altro pezzo pregiato nella vetrina di Prelios: 2,5 milioni per un edificio da 3mila metri quadri con terreno di 7.400 sulle alture di Arenzano (Terralba). Anche in questo caso, per qualche anno bisognerà accontentarsi del canone (si far per dire: 152 mila euro l’anno). Qui il gioco varrebbe la candela, perché l’intorno è costituito da villette unifamiliari, e ottenere una variante di utilizzo anche solo per il terreno equivarrebbe a fare dell’investimento un discreto business. Ma l’agenzia non risparmia proprio nulla, e nel catalogo infila perfino la maxi-antenna dalle parti del Forte Begato. Giusto 760mila euro per aggiudicarsela, 46 mila euro di rendita annua e la sensazione di dominare un pezzo storico della vecchia Sip. Tratto da: http://www.ilsecoloxix.it/p/genova/2012/12/14/AP7njzBE-vendesi_traliccio_cassa La torre Telecom di via al Forte di Begato 5
19 NOVEMBRE 2012 - Lunedì Ore 09.20 - GENOVA: RAI, MEDIASET E TELECOM ITALIA MEDIA, LAVORI DI OTTIMIZZAZIONE DEGLI IMPIANTI. GENOVA - Mediaset, Rai e Telecom Italia, proprietaria di La7, hanno iniziato a mettere mano ai principali ripetitori del segnale digitale terrestre a Genova. L’obiettivo è quello di porre fine alla lunga serie di lamentele denunciate anche dal Secolo XIX in una recente inchiesta e segnalate all’Agcom, l’Autorità per le Garanzie nelle Comunicazioni. Trasmissioni “squadrettate”, segnali assenti, black-out temporanei, questi i principali problemi comunicati a più riprese dai cittadini. Nelle ultime settimane la situazione sta migliorando. In virtù di cosa? Delle modifiche che le tre principali emittenti stanno compiendo sui propri impianti, in particolare su quelli montati sui tralicci del Monte Fasce, del Righi e del Monte Serra, in Toscana. Limitati i danni di un passaggio tecnologico certamente lontano dalla perfezione, ora si dovrà però fare i conti con un nuovo nemico chiamato Lte, la tecnologia che renderà più veloci tablet e smartphone di nuova generazione. Il digitale terrestre, da quando è sbarcato in Liguria, ha iniziato a dir poco a far parlare di sé, e non certo per l’impeccabilità del servizio. Fino a non molto tempo fa a Genova un impianto su quattro ha manifestato problemi a ripetizione. All’inizio si è trattato dei comprensibili problemi di ricezione di un segnale nuovo. Poi l’asticella delle rogne si è spostata sulle interferenze dei ripetitori della Toscana (Monte Serra) e della Francia, la cui propagazione si è dimostrata in grado a più riprese di disturbare ulteriormente il già caotico panorama dei segnali in aria sulla città. Gli antennisti hanno rigettato ogni responsabilità sulle aziende proprietarie delle reti, “colpevoli” a loro dire di non eseguire gli interventi che il caso richiederebbe, in particolare sul ripetitore del Monte Fasce. A distanza di mesi dall’avvio, tutte e tre le grandi aziende delle emittenti in chiaro hanno iniziato a mettere mano ai propri impianti. L'ultima in ordine di tempo a entrare in azione è stata la Rai, la prima Telecom per porre fine ai gravissimi problemi di ricezione che facevano sparire per ore il segnale di La7. Ma tra gli addetti ai lavori si parla anche dell'arrivo dei primi ritocchi di Mediaset. Tratto da: http://www.ilsecoloxix.it/p/genova/2012/11/18/APmf4oyD-digitale_terrestre_oscuramento 30 GIUGNO 2012 - Sabato Ore 10.45 - MUX TELECITY LIGURIA: AGGIUNTO STV TEST CON UNA NUOVA SAMP TV. UHF 24 Mux
TELECITY LIGURIA: Nella giornata del 27 Giugno scorso è stato aggiunto nel mux TELECITY LIGURIA (UHF 24 da Monte Fasce) il canale, senza LCN, STV Test, che trasmette Samp TV in formato 16:9 e con programmazione di vecchie partite e di trasmissioni calcistiche (non in diretta) di 7 GOLD. Rimane al momento presente nell'altro mux di TELEGENOVA (UHF 29 da Monte Fasce), con LCN 681, il canale l'originale Samp TV con trasmissioni differenti rispetto a quello nuovo. Ringraziamo per la segnalazione e le immagini Marco di Genova. 26 GIUGNO 2012 - Martedì Ore 23.00 - GENOVA MONTE FASCE: ARRIVA IL MUX TELERADIO PACE. UHF 31 Mux TELERADIO PACE: Il nostro lettore Marco di Genova ci comunica che è stato attivato dalla postazione locale di Monte Fasce il mux di TELERADIO PACE di Chiavari (GE).
Nel dettaglio vi elenchiamo i canali contenuti nel mux: 15 - TelePace 1 19 - TLS TeleLiguriaSud 85 - TelePace 2 115 - TelePace 3 218 - TelePace 4 695 - Levante Sport - Radio Pace - Radio Aldebaran Abbiamo inserito la nuova pagina con la griglia dei canali trasmessi nella lista delle TV A GENOVA. 31 MARZO 2012 - Sabato Ore 09.50 - TELEGENOVA: COM'ERA, COM'E' (CON VIDEO).
L'emittente ligure TeleGenova, dopo il cambio di proprietà (gestione
società VLF) non attraversa un buon momento, i lavoratori non
percepiscono lo stipendio da oltre sei mesi e i contributi Enpals non
risultano versati. In questo video realizzato dai dipendenti
dell'emittente lo scorso febbraio, si vede la difficile situazione in
cui operano i giornalisti e i tecnici che sono costretti a lavorare in
un ufficio-cantiere. Sembrano purtroppo ormai lontani i tempi d'oro di
Salvatore Cingari (editore del canale scomparso nel 2004) che portò
l'emittente al massimo della popolarità, con programmi di
intrattenimento, informazione e sport. Nel link qui sotto di storia
radio tv, potete leggere nel dettaglio la storia di TeleGenova dalla
nascita. http://www.storiaradiotv.it/TELEGENOVA 25 MARZO 2012 - Domenica Ore 18.20 - IN EVIDENZA - LA SPEZIA: DAL MONTE PARODI CAMBIO DI POLARIZZAZIONE DEGLI IMPIANTI. Stiamo ricevendo una notevole quantità di mail da La Spezia dove tutti voi segnalate la mancata ricezione di Mediaset, Telecom e alcune reti locali. Il motivo è che dallo scorso 20 marzo dalla postazione di monte Parodi è stata modificata la polarizzazione di emissione, da orizzontale a verticale. Pertanto l'unica soluzione possibile per tornare a ricevere i segnali televisivi è quella di modificare la posizione dell'antenna da orizzontale a verticale. Questa scelta tecnica è dovuta alle persistenti difficoltà tra i segnali della Toscana e quelli provenienti da La Spezia. Una raccomandazione infine: fate effettuare il lavoro da tecnici specializzati. Ecco la testimonianza di un altro nostro lettore di La Spezia, che ci invia un email per confermare che cambiando polarità alle antenne si riescono a ricevere tutti i canali: "Io abito a la Spezia zona Azzerata e per una settimana non ho visto i canali Mediaset poi parlando con amici mi é stato consigliato di ruotare l' antenna da orizzontale a verticale e la cosa ha funzionato ora vedo tutto che é una meraviglia prendo circa 300 canali tra liberi e criptati ho un antenna singola montata sul tetto e un tv nuovo che prendeva quasi tutto ma ogni tanto dava segnale debole, ora va benissimo". Abbiamo aggiornato la nostra pagina de LE TV A LA SPEZIA. Ore 14.40 - GENOVA: IL CALDO MANDA IN TILT LA TV DIGITALE. Genova - Invita a spegnere la televisione e uscire qualche volta in più, l’esplodere della stagione migliore dell’anno. Il rischio è che l’opportunità, però, diventi scelta obbligata. E che privi di svago e informazione anche chi, per limiti fisici, di pigrizia o di età, può permettersi poco di abbandonare casa. Il passaggio al digitale terrestre non è finito col delirio dello switch-off, lo spegnimento del segnale analogico “celebrato” a fine 2011. I problemi di ricezione, a distanza di mesi, sono rimasti. Anzi, il rialzarsi delle temperature rincarerà le criticità mai risolte di segnali spesso deboli, altre volte capaci di scontrarsi e disturbarsi col risultato del black-out. Ad aver problemi, a partire dalle prossime settimane, saranno anche moltissimi genovesi che ritenevano di aver operato - con relativa spesa - tutti gli interventi che l’epocale passaggio al digitale imponeva. I venti gradi già registrati in questo esordio di primavera hanno creato i primi problemi. Entro l’estate c’è già chi prevede che sarà il caos. Colpa del maxi-ripetitore toscano di Monte Serra. Il segnale in arrivo da quel punto di propagazione interferirà con il caotico sistema di segnali di Genova. Per circa 150 mila genovesi significherà, con ogni probabilità, dover tornare a intervenire sull’impianto di casa per ovviare all’oscuramento dei canali Mediaset e Rai. Sotto attenzione ci sono soprattutto le grandi emittenti nazionali, che sarà difficile continuare a vedere soprattutto nelle zone collinari (ad esempio Oregina, Quezzi, Castelletto, alture di Sestri e Pegli, Quarto e altre) e nel Ponente (l’area più critica sarà quella attorno ad Arenzano e Voltri). Continua a leggere qui:http://www.ilsecoloxix.it/p/genova/2012/03/25/APqGvTAC-digitale_caldo_manda 13 MARZO 2012 - Martedì Ore 12.55 - GENOVA: FRANCA BRIGNOLA INAUGURA "118 EMERGENZA TV". «Centodiciotto. Emergenza Tv». Da questa sera l'emittenza locale genovese avrà una nuova rete televisiva sul canale 118 del digitale terrestre. Si chiama «Emergenza Tv», e il nome d'impatto gioca proprio sul numero del canale sul quale andrà in onda. Esordio previsto per questa sera, ore 21, con una programmazione che arriverà fino alla mezzanotte. Tre ore di trasmissioni giornaliere per rodare il meccanismo che ha come ideatore e direttore artistico Vittorio Da Pozzo. È stato lui ad acquistare le frequenze del canale dalla proprietà di Telegenova dove al momento trasmette a pieno regime Teleliguria. Inizialmente la nuova televisione andrà in onda con una programmazione limitata, ma l'idea è quella di espandersi pian piano in base a quella che sarà la richiesta pubblicitaria. Volto di punta di «Emergenza Tv» è Franca Brignola, ex direttore di Telegenova e volto più conosciuto della televisione ligure, che rientra sul piccolo schermo dopo aver abbandonato nello scorso autunno l'emittente che aveva contribuito a fondare negli anni '70. «Sono felicissima di ricominciare per abbracciare nuovamente il mio pubblico e per tornare a raccontare le nostre storie e informare i genovesi - racconta Franca Brignola -. A Telegenova la situazione era diventata insostenibile e i fatti, purtroppo, mi hanno dato ragione. Sono molto dispiaciuta della situazione che si è venuta a creare per i ragazzi che ci lavorano». L'esordio di Emergenza Tv avverrà stasera alle 21 con la rubrica «Lettere a Franca», un contenitore di 15 minuti condotto da Franca Brignola che commenterà le lettere degli ascoltatori e avrà in studio un ospite al giorno. La striscia andrà in onda martedì, giovedì, sabato e domenica. Stasera alle 21.15 (e poi tutti i martedì alla stessa ora) partirà «Attenti a quei due» trasmissione condotta da Enrico Cimaschi e Andrea Cambiaso pronti a pungere sulla politica cittadina e regionale. Il venerdì sera gli approfondimenti sui temi settimanali della politica, della cronaca e del costume saranno affidati ancora alla Brignola in «Liguria allo specchio» e, sempre la signora della televisione locale genovese, sarà anche la presentatrice di una trasmissione sui trasporti che andrà in onda il mercoledì alle 21.15 con Virgilio Cimaschi, mentre una striscia settimanale sarà dedicata anche agli animali con una rubrica curata da un veterinario. Enrico Cimaschi, oltre alla trasmissione «Attenti a quei due», sarà il conduttore di Tg Europa, approfondimento quotidiano sui temi dell'Unione Europea. Ci sarà spazio anche per la musica e lo spettacolo con due trasmissioni curate da Vittorio Da Pozzo: «Stella danzante» in onda ogni sera e «Liguria Selection music show» che sarà la parte più suggestiva del palinsesto domenicale. In un momento di forte crisi per il mondo dell'informazione locale ecco un nuovo esperimento, una ventata di ottimismo. Si parte con una squadra ridotta all'osso per non fare il passo più lungo della gamba, ma l'ambizione è quella di allargare la programmazione e dotarsi di un vero e proprio telegiornale locale ed una squadra di giornalisti. È una piccola grande sfida, non verso le emittenti concorrenti, ma verso se stessi. Benvenuta «Emergenza Tv» e in bocca la lupo! Tratto da:http://www.ilgiornale.it/genova/il_ritorno_franca_brignola_da_oggi_nuovo_donna_tv 10 MARZO 2012 - Sabato Ore 21.35 - TELEGENOVA AL COLLASSO: DOPO GLI STIPENDI TAGLIATA ANCHE LA LUCE. Da mesi senza stipendio, i giornalisti e gli operatori di Telegenova sono rimasti anche senza luce, con l' impossibilità di produrre la parte giornalistica dell' emittente, che anche ieri non è andata in onda. I sindacati denunciano la crisi dell' emittente e definiscono le difficoltà dei lavoratori parlando di «una situazione inaccettabile». Un documento durissimo firmato da Marcello Zinola, segretario dell' Associazione Ligure Giornalisti e Gianni Pastorino, segretario Slc-Cgil di Genova, ribadisce il «giudizio negativo» sui nuovi proprietari, subentrati a novembre nel ramo d' azienda dedicato alla produzione dei programmi, che è stato invece separato dalla rete. In mezzo sono rimasti i 17 dipendenti dell' emittente, 5 giornalisti e 12 amministrativi e tecnici, con 4 persone in cassa integrazione a zero ore. I dipendenti non ricevono più lo stipendio da mesi, lavorano in condizioni impossibili, e in ultima denunciano questo episodio: il 6 marzo scorso l' azienda «ha comunicato la chiusura temporanea della sede causa cambiamento del gestore che fornisce l' energia elettrica. In altre parole, nella sede di via XX settembre non c' è energia elettrica, dunque non si può lavorare. La programmazione giornalistica è stata sospesa, mentrei programmi di intrattenimento sono assemblati in altre sedi. Secondo la nota sindacale «la storia di Telegenova oggi è fatta di decreti ingiuntivi per i salari non percepiti, ispezioni da parte degli enti previdenzialie del lavoro, un procedimento giudiziario per comportamento antisindacale, anche il Corecom informato della situazione dell' emittente». Il sindacato lancia quindi un appello alle istituzioni e alla politica: «Non vi diciamo non andate a Telegenova, non partecipate a trasmissioni - è l' invito - ma vi chiediamo di informarvi prima su come le realizzeranno e nel rispetto di quali diritti e doveri». Tratto da:http://ricerca.repubblica.it/repubblica/archivio/repubblica/2012/03/09/telegenova-al-collasso-dopo-gli-stipendi-tagliata 09 MARZO 2012 - Venerdì Ore 16.35 - SANTA MARGHERITA LIGURE: VIAGGIO NELLE RADIO LIBERE DEL LEVANTE LIGURE. A Santa Margherita Ligure, sabato 10 marzo alle 17.00 nella sede di “Spazio Aperto di Via dell’Arco” (Via dell’Arco, 38),”Sulle magiche frequenze del Tigullio. Appunti disordinati di viaggio nelle radio libere del Levante Ligure dal 1976 ad oggi” con Salvo Agosta, direttore Radio Aldebaran, Marco Revello, autore e conduttore radiofonico. Anni ’60: una ventata di libertà e voglia di comunicare. Informazione, letteratura, musica, il “ribollire” di una generazione in un decennio pieno di avvenimenti epocali. I giovani cercano di esprimere il loro desiderio di novità in molti modi: nel 1964 sono conquistati dalla minigonna, nel 1965 i Beatles effettuano un tour in Italia, nel 1966 l’alluvione di Firenze vede in prima linea giovani volontari di tutto il mondo, nel 1968 esplode negli Stati Uniti il fenomeno hippy mentre in Europa dilaga la contestazione studentesca. Non c’è internet, ma la tecnologia mette a disposizione un’arma formidabile a prezzo abbordabile: la radio. In Gran Bretagna nascono le “radio pirata”, libere da ogni controllo. A partire dal 1975 anche in Italia, esponendosi a denunce e sequestri, numerose “radio libere” occupano le frequenze disponibili; la Liguria non si lascia sfuggire l’opportunità. Molti ricordano Radio Camogli Stereo che da Ruta diffondeva nel golfo Paradiso e nel Tigullio, Radio Città Futura, Radio Star Music e Rete Chiavari da Chiavari, Radio Gamma Sound e Radio Portofino da Lavagna, Radio Tempio della Musica, Radio Porticciolo e Radio Levante da Rapallo, Radio Eclisse 82 da Sestri e Radio Levante. Marco Revello trasmetteva dal Castello Cinquecentesco di Santa su Radio Tigullio Activity; Salvo Agosta era ospitato nel Convento dei Cappuccini di Chiavari sulle frequenze di Radio Aldebaran. Oggi solo poche di quelle radio sono sopravissute: tra queste Radio Aldebaran. Ma di quell’esperienza restano persone che si sono formate allora: deejay, annunciatori, tecnici, autori, giornalisti. L’incontro ha il patrocinio del Comune di Santa Margherita. L’ingresso, come per tutte le iniziative dell’Associazione “Spazio Aperto”, è libero e gratuito. Tratto da: http://www.levantenews.it/index.php/2012/03/09/santa-viaggio-nelle-radio-libere-del-levante-ligure 14 FEBBRAIO 2012 - Martedì Ore 06.30 - RIOMAGGIORE (LA SPEZIA): RIPRISTINATO IL SEGNALE DEL DIGITALE TERRESTRE. Il Comune di Riomaggiore informa che si rivedono i canali Rai e Mediaset del digitale terrestre nelle Cinque Terre. Oggi i tecnici di Rai Way sono intervenuto sul ripetitore di Monte Verrugoli e hanno ripristinato la ricezione dei canale. Nel caso in cui i canali non si ripristino automaticamente, occorre effettuare una scansione dei canali. Il tecnico manutentore dell'impianto comunale è inoltre intervenuto per migliorare il servizio in alcune zone in cui il segnale era peggiore. Tratto da:http://www.cittadellaspezia.com/mobile/articolo 08 FEBBRAIO 2012 - Mercoledì Ore 12.30 - MUX TELESTAR: ARRIVA CHANNEL 24. UHF 51 Mux TELESTAR:
E' stato aggiunto in questo mux Channel-24 che va ad occupare la posizione LCN 130, come potete vedere nelle immagini che alleghiamo, viene trasmesso un telefilm e non le abituali televendite. Segnaliamo che Channel 24 è inserita anche nel mux di TELECAMPIONE (LCN 184) ma trasmette da molti mesi a questa parte una test card con il proprio logo (vedi foto sotto). 23 GENNAIO 2012 - Lunedì Ore 11.20 - PORTO VENERE (LA SPEZIA): NIENTE PROGRAMMI RAI, FORSE UNA SOLUZIONE. L’Amministrazione Comunale di Porto Venere ha ricevuto numerose lamentele da parte di cittadini che, dopo il passaggio al digitale terrestre, non riescono a ricevere i segnali televisivi dei canali Rai nella frazione capoluogo. Intende pertanto chiarire prima di tutto come non sia compito istituzionale del Comune assicurare i servizi televisivi ai cittadini. Nonostante questo gli uffici si sono adoperati, fin dal mese di agosto 2011, per sensibilizzare la sede Regionale Rai affinché si evitasse il problema prima ancora del suo sorgere. Analoga iniziativa è stata intrapresa, all’inizio del mese di ottobre, presso il Ministero dello Sviluppo – Ispettorato delle comunicazioni di Genova. Al momento attuale il disservizio permane poiché la Rai non è intenzionata ad installare un ripetitore in grado di coprire la zona del centro storico, invitando i cittadini, dove è possibile, a sintonizzarsi sul segnale proveniente dalla Toscana (Monte Serra). In quel caso si riceverebbero, naturalmente le trasmissioni dedicate a quella regione. Altra soluzione potrebbe essere quella di utilizzare le trasmissioni satellitari con l’acquisto di un decoder per ogni televisore. In questo caso non sarebbero trascurabili, naturalmente, i costi a carico dei singoli utenti e i problemi legati all’impatto paesaggistico che avrebbero le parabole. Il Ministero, durante un apposito sopralluogo, ha infine ventilato la possibilità di poter irradiare i segnali utilizzando un canale assegnato alla Rai nonostante le iniziali resistenze dell’Azienda stessa. Quest’ultima è la soluzione che l’Amministrazione ha ritenuto più idonea a rispondere alle esigenze dei cittadini. Conseguentemente il Ministero ha recentemente provveduto all’emissione di apposito decreto che permetterà di coprire con il segnale Rai Liguria tutto il territorio fino ad oggi escluso dal servizio. Il tutto dovrebbe avvenire entro la prima decade del mese di febbraio. Per il bene comune infatti l’Amministrazione Comunale si assumerà responsabilità e competenze non proprie investendo una somma superiore ai diecimila euro. In questo quadro di difficoltà economiche è comunque un sacrifico che riteniamo importante per assicurare livelli adeguati della qualità della vita. Tratto da: http://www.levantenews.it/index.php/2012/01/23/porto-venere-niente-programmi-rai-forse-una-soluzione 19 GENNAIO 2012 - Giovedì Ore 22.10 - IN VALLE ARROSCIA LA RAI NON SI VEDE: UNA RACCOLTA FIRME DEI CITTADINI. La Rai non si vede ma chiede100 mila euro ai Comuni per installare nuovi ripetitori. Marco Scajola presenta un interrogazione "Oltre il danno anche la beffa: la Regione intervenga a sostegno di questi Comuni vessati dall’emittente televisiva nazionale” Marco Scajola si fa propugnatore in Regione di un interrogazione per chiedere, alla luce dell’iniziativa popolare promossa da alcuni Comuni della Valle Arroscia , l’intervento della Regione per tutelare quei territori, che sono molti in Liguria, dove con l’attivazione del digitale terrestre la Rai non si vede più ed ai quali vengono chiesti, dall’emittente nazionale stessa, finanziamenti aggiuntivi per installare nuovi ripetitori. Scajola spiega: “Per questi cittadini oltre il danno anche la beffa. Non solo non riescono a guardare la televisione, ma ai Comuni viene richiesto un finanziamento aggiuntivo, nel caso specifico dei Comuni dell’entroterra della Valle Arroscia 100 mila euro, per installare nuovi ripetitori”. L’esponente del Pdl continua: “La situazione ha del paradossale. Già in passato avevo espresso le mie preoccupazioni in merito al passaggio al digitale terrestre, purtroppo queste sono diventate un fatto concreto con gravi disagi e disservizi per tanti cittadini e comuni soprattutto dell’entroterra”. “La Regione – dice ancora il rappresentante del centro destra- si deve attivare soprattutto di fronte all’ennesima richiesta di denaro proveniente dall’emittente nazionale. La mobilitazione spontanea di tanti cittadini ed amministrazioni locali, che stanno raccogliendo centinaia di firme contro quest’atteggiamento vessatorio da parte della Rai, deve essere sostenuta. per questo con la mia interrogazione voglio portare la questione in Consiglio regionale”. Marco Scajola fa sapere che con il suo documento, oltre ad aver chiesto l’intervento della Giunta per risolvere questa incresciosa vicenda, pretende di conoscere lo stato dell’arte rispetto al passaggio dall’analogico al digitale terrestre: “Mi risulta che in molte parti della Liguria la situazione non sia delle migliori. Voglio sapere nel dettaglio come si sta procedendo per garantire a tutti i cittadini liguri la possibilità, visto che pagano anche un salato canone la cui scadenza cade proprio in questi giorni, di guardare la televisione senza sopportare continui disservizi”. Tratto da: http://www.sanremonews.it/2012/01/19/leggi-notizia/argomenti/politica-1/articolo/digitale-terrestre-in-valle-arroscia-la-rai-non-si-vede-una-raccolta-firme-dei-cittadini 14 GENNAIO 2012 - Sabato Ore 00.25 - MUX TELECITY: ARRIVA RADIO ZETA. UHF 45 (Piemonte) - UHF 45 (Lombardia) - UHF 24 (Liguria) Mux TELECITY: Segnaliamo che rispetto alla nostra precedente rilevazione, è stata inserita l'emittente radiofonica lombarda Radio Zeta con LCN 173. Vi informiamo che stiamo continuando ad aggiornare progressivamente le composizioni dei mux delle nostre liste. 10 GENNAIO 2012 - Martedì Ore 10.50 - LA SPEZIA: TV DIGITALE A SINGHIOZZO, "SCIOPERO DEL CANONE". Proteste anche per la ricezione del canale Rai 3 della Liguria. Il segnale funzionebbe a corrente alternata alla Chiappa, in alcune zone di Fossitermi e Rebocco, a San Terenzo, Lerici, Arcola e a Pian di Valeriano. Problemi nell’alta Val di Vara, aRiccò del Golfo, a Varese Ligure e a Carrodano. Sono centinaia e hanno le idee chiare: o «Mamma Rai» si attrezza per garantire una copertura totale del segnale legato al digitale terrestre, o per quest’anno può anche scordarsi i soldi dell’abbonamento. Sarà anche brutale, ma almeno, posto in questi termini, il messaggio non manca di efficacia. Già, perché dal giorno dello switch-off, ossia da quando la tv analogica ha smesso di funzionare, il nuovo sistema di diffusione e ricezione delle frequenze non è ancora andato a regime. E sono molte nella provincia spezzina le cosiddette ‘zone buie’, aree non coperte dal segnale o dove il segnale è troppo debole per garantire una fruzione costante delle trasmissioni televisive, comprese quelle proposte dal servizio pubblico. Le segnalazioni non si contano e la rabbia dei telespettatori nelle scorse settimane è approdata sui tavoli dell’Adoc, l’associazione di via Persio che tutela i consumatori. «I problemi sono diversi — spiega il presidente provinciale Elisabetta Sommovigo —. Ci sono zone della prima periferia cittadina in cui i telespettatori non riescono a captare le frequenze de La7. Man mano che ci si avvicina alla provincia di Massa Carrara, e soprattutto nella bassa Val di Magra, il segnale dei nostri ‘vicini di casa’ diventa prevalente e molti spezzini su Rai3 riescono a vedere soltanto il tg regionale della Toscana e non quello della Liguria». STANDO all’osservatorio dell’Adoc il segnale del digitale terrestre funzionebbe a corrente alternata anche alla Chiappa, in alcune zone di Fossitermi e Rebocco, a San Terenzo, Lerici, Arcola e a Pian di Valeriano. Ma i problemi più significativi si sono registrati nell’alta Val di Vara, e soprattutto a Riccò del Golfo, a Varese Ligure e a Carrodano. Tratto da: http://www.lanazione.it/laspezia/cronaca/2012/01/10/649945-digitale_singhiozzo 08 GENNAIO 2012 - Domenica Ore 16.00 - MUX TELESTAR: INSERITE LE LCN ALLE RADIO. UHF 41 (Piemonte - Lombardia) / UHF 51(Liguria) Mux TELESTAR: Radio City e Radio City SMI, le emittenti radiofoniche del gruppo di Giorgio Tacchino diffuse in questo multiplex del digitale terrestre in Piemonte, Lombardia e Liguria dispongono ora della numerazione LCN. Radio City occupa la posizione 701, mentre l'emittente di sola musica italiana Radio City SMI ha inserito l'LCN 702. Abbiamo aggiornato le relative griglie dei canali e gli z@pping tv. Ore 23.25 - MUX INTERREGIONALI - MUX STUDIO NORD: ELIMINATO STUDIO 7 DALL'LCN 47. UHF 32 (Lombardia) / UHF 45 (Liguria) / UHF 61 (Bologna e Romagna) Mux STUDIO NORD: E' stato eliminato da questo mux il canale Studio 7 che occupava la posizione LCN 47, in conflitto con il nuovo canale Switch TV (TIMB Mux 2). Studio 7 resta disponibile sull'LCN 181. Abbiamo aggiornato lo z@pping tv, inserendo questo multiplex nella sezione MUX INTERREGIONALI nella pagina dei MUX NAZIONALI. 05 DICEMBRE 2011 - Lunedì Ore 15.55 - MUX LIGURIA TV E TELENORD : INSERITI GLI Z@PPING TV. UHF 21 Mux LIGURIA TV: Abbiamo inserito nelle liste delle emittenti tv che si ricevono in Liguria (pubblicate sul nostro sito) lo z@pping TV dei canali trasmessi dai mux di LIGURIA TV e TELENORD, che contengono le stesse emittenti tv. 04 DICEMBRE 2011 - Domenica Ore 23.15 - MUX TELECITTA': INSERITO LO Z@PPING TV. UHF 41 Mux TELECITTA': Abbiamo inserito nelle liste delle emittenti tv che si ricevono in Liguria (pubblicate sul nostro sito) lo z@pping TV dei canali trasmessi dal mux TELECITTA'. 03 DICEMBRE 2011 - Sabato Ore 11.45 - TELECITY 1 DIVENTA 7 GOLD MUSICA. UHF 41 (Lombardia / Piemonte) Mux TELESTAR: UHF 27 (Provincia Alessandria) - UHF 45 (Piemonte) Mux TELECITY: UHF 24 Mux TELECITY LIGURIA: UHF 35 Mux ITALIA 8 LIGURIA: Ennesimo cambio di denominazione per TELECITY 1 (nelle sue versioni trasmesse con diverse LCN e con diversa denominazione in base alla regione): ora trasmette con il logo 7 GOLD MUSICA TELECITY. Al momento l'epg non è ancora stata modificata, il cambiamento come detto riguarda nello specifico per il Piemonte TELECITY 1 AL (LCN 111), per la Liguria TELECITY 1 GE (LCN 114) e per la Lombardia TELECITY 1 MI (LCN 196). Ed ora alcune segnalazioni che riguardano sempre queste tre regioni: il canale precedentemente nominato in epg TELESTAR 7 GOLD è ora stato modificato in Telestar Canale 77 (LCN 77), mentre l'ammiraglia del gruppo Telecity 7 Gold (LCN 10 Piemonte, LCN 14 Liguria, LCN 15 Lombardia) da molti giorni sta trasmettendo in video con il solo logo di 7 Gold. Ore 07.45 - MUX PRIMOCANALE: INSERITO LO Z@PPING TV. UHF 44 Mux PRIMOCANALE: Abbiamo inserito nelle liste delle emittenti tv che si ricevono in Liguria (pubblicate sul nostro sito) lo z@pping TV dei canali trasmessi dal mux PRIMOCANALE. 30 NOVEMBRE 2011 - Mercoledì Ore 16.50 - DOMANI SI CONCLUDERA' LO SWITCH OFF IN PROVINCIA DI LA SPEZIA: ARRIVA IL DIGITALE TERRESTRE NEI COMUNI ALLUVIONATI. Scatterà giovedì primo dicembre a Levanto, Bonassola, Borghetto Vara, Bugnato, Monterosso, Rochetta Vara e Vernazza, il passaggio al digitale terrestre. La cosiddetta operazione di “switch off”, prevista originariamente per lo scorso 4 novembre, era stata rinviata nei paesi maggiormente colpiti dall’alluvione del 25 ottobre. Con la transizione al digitale tutti i programmi televisivi saranno trasmessi esclusivamente nella nuova tecnologia e il loro segnale potrà essere ricevuto unicamente attraverso un decoder o un apparecchio televisivo dotato di sintonizzatore digitale integrato. Ore 00.30 - MUX ITALIA 8 LIGURIA: INSERITO LO Z@PPING TV. Abbiamo inserito ed aggiornato lo z@pping tv e la
griglia dei canali trasmessi da questo multiplex in Liguria. Segnaliamo
che il canale nominato Italiaotto AL_ (LCN 658) trasmette in video con
logo Italiaotto 1, mentre il canale denominato Italiaotto Lomb_ (LCN
659) trasmette in video con il logo Italiaotto 2. 29 NOVEMBRE 2011 - Martedì Ore 11.40 - LE TV A MASONE (GENOVA): GLI Z@PPING DEI MUX TELEMASONE VALLESTURA E TELETURCHINO. UHF 31 Mux TELEMASONE VALLESTURA: UHF 48 Mux TELETURCHINO: Dopo aver aggiunto la lista delle tv che si ricevono a MASONE (GENOVA), inseriamo gli z@pping delle due emittenti locali di questa piccola località ligure: del mux TELEMASONE VALLESTURA (UHF 31), le tre emittenti, al momento della nostra rilevazione, non trasmettevano nulla, c'era solo uno schermo rosso, e del mux TELETURCHINO (UHF 48), i sei canali trasmettevano tutte la stessa programmazione di Teleturchino. Ore 10.40 - REALIZZATA LA LISTA DELLE TV A MASONE (GENOVA). Nelle nostre pagine di LIGURIA IN DIGITALE abbiamo inserito la nuova lista delle TV A MASONE (GENOVA), dove potete consultare tutti i mux ricevibili, la loro composizione e le immagini dei canali con il nostro esclusivo z@pping TV. Ore 10.30 - RADIO FIESOLE (FIRENZE): OTTIMA RICEZIONE SUL PASSO DEL TURCHINO. Mentre percorrevamo l'autostrada A26 dei trafori Milano-Genova, sul Passo del Turchino, a quota 500 m.s.l.m. tra le provincie di Alessandria e Genova, abbiamo ascoltato con ottima qualità Radio Fiesole, emittente radiofonica dell'omonima località fiorentina sulla frequenza FM 100.00 Mhz. Proseguendo verso Genova, l'ascolto in automobile della stazione si è affievolito dalle parti di Voltri, quando l'A26 si interseca con l'inizio della tangenziale di Genova. L'emissione di questa frequenza potrebbe provenire dal monte Serra (Pisa) in Toscana. http://www.radiofiesole.it 23 NOVEMBRE 2011 - Mercoledì Ore 00.20 - MUX TELEGENOVA: ELIMINATA CIELO. E'
stato eliminato da questo multiplex il canale Cielo, quest'ultimo è
disponibile in Liguria solo nel mux RETE A1 trasmesso sull' UHF 32. 22 NOVEMBRE 2011 - Martedì Ore 23.00 - REALIZZATA LA LISTA DELLE TV A VENTIMIGLIA E LATTE (IMPERIA). Nelle nostre pagine di LIGURIA IN DIGITALE abbiamo inserito la nuova lista delle TV A VENTIMIGLIA E LATTE (Imperia), dove potete consultare tutti i mux ricevibili, la loro composizione e le immagini dei canali con il nostro esclusivo z@pping TV. 19 NOVEMBRE 2011 - Sabato DA OGGI LE MAIL RICEVUTE SONO CONSULTABILI SOLO NELLA PAGINA DELLO SPORTELLO TV DIGIT@LE Ore 10.50 - SPORTELLO TV DIGIT@LE: E' ARRIVATA NUOVA POSTA DA SANTO STEFANO MAGRA (LA SPEZIA). Paolo - Santo Stefano Magra (La Spezia): Buongiorno, abito a Santo Stefano Magra (SP) lo switch off è avvenuto circa una settimana fa nella zona di La Spezia. All'inizio vedevo tutto, ieri 18 novembre sono spariti L7-La7d e MTV ( imiei preferiti) sul canale 42 dal Monte Parodi e gli altri canali dei mux Timb. Sapete dirmi come mai, e se avremo modo di rivedere presto la 7 o se ci sarà da attendere molto tempo? Grazie Paolo. 18 NOVEMBRE 2011 - Venerdì Ore 10.10 - REALIZZATA LA LISTA DELLE TV A LA SPEZIA. Nelle nostre pagine di LIGURIA IN DIGITALE abbiamo inserito la nuova lista delle TV A LA SPEZIA, dove potete consultare tutti i mux ricevibili, la loro composizione e le immagini dei canali con il nostro esclusivo z@pping TV. Ore 09.05 - SPORTELLO TV DIGIT@LE: E' ARRIVATA NUOVA POSTA DA VENTIMGLIA (IMPERIA). Ci scrive un anonimo da Ventimiglia, in provincia di Imperia. Ecco in dettaglio la sua email, che potete leggere anche nella pagina dello SPORTELLO TV DIGIT@LE. "Salve, vi segnalo che a Ventimiglia (IM) il mux di Telegenova non risulta ancora visibile (non lo è più stata dopo lo switch-off). Allo stesso modo, non è visibile il mux di Rete A. Quanto dovremo aspettare ancora? Si sa qualcosa in merito? Grazie mille." 17 NOVEMBRE 2011 - Giovedì Ore 23.50 - SPORTELLO TV DIGIT@LE: E' ARRIVATA NUOVA POSTA DA SARZANA (LA SPEZIA). Ci scrive un anonimo da Sarzana, in provincia di La Spezia. Ecco in dettaglio la sua email, che potete leggere anche nella pagina dello SPORTELLO TV DIGIT@LE. "Salve, utilizzo il digitale da anni nella zona di Sarzana, ma da domenica non vedo più i canali Rai... cosa è successo? Aggiungo: a Pietra Ligure si potrà ricevere la Rai in digitale? Dallo switch off non si vede." Ore 14.50 - SPORTELLO TV DIGIT@LE: E' ARRIVATA NUOVA POSTA DA LA SPEZIA. Ci scrive un anonimo da La Spezia. Ecco in dettaglio la sua email, che potete leggere anche nella pagina dello SPORTELLO TV DIGIT@LE. "Abito a La Spezia dalla data di Switch-off Tivuitalia rai sport 1 e 2 non si vedono nel territorio ligure. Pare non abbia copertura a Genova e nelle altre province liguri. Come comportarmi? Grazie." Ore 01.55 - SPORTELLO TV DIGIT@LE: E' ARRIVATA NUOVA POSTA DA CAMPO LIGURE (GENOVA). Ci scrive un anonimo da Campo Ligure, in provincia di Genova. Ecco in dettaglio la sua email, che potete leggere anche nella pagina dello SPORTELLO TV DIGIT@LE. "Buongiorno. Volevo sapere se c'è speranza di vedere a Campo Ligure anche altri mux Rai (2-3-4) quelli che raggruppano i vari RAIMOVIE,RAI5,RAI4,RAISPORT 1 e 2,RAISTORIA..........Grazie." Ore 01.05 - SPORTELLO TV DIGIT@LE: E' ARRIVATA NUOVA POSTA DA LA SPEZIA. Ci scrive un anonimo da La Spezia. Ecco in dettaglio la sua email, che potete leggere anche nella pagina dello SPORTELLO TV DIGIT@LE. "ABITO A LA SPEZIA ZONA OSPEDALE. DAL GIORNO DEL PASSAGGIO AL DIGITALE NON VEDO PIU' RAISPORT 1 E 2 ? C'E' UN MOTIVO?" 15 NOVEMBRE 2011 - Martedì Ore 14.45 - SPORTELLO TV DIGIT@LE: E' ARRIVATA NUOVA POSTA DA LA SPEZIA. Ci scrive un anonimo da La Spezia. Ecco in dettaglio la sua email, che potete leggere anche nella pagina dello SPORTELLO TV DIGIT@LE. "Il 12 novembre è andato ufficialmemte in funzione il digitale terrestre per la zona di La Spezia, però i programmi di Rai Sport 1 e 2 non ci sono. E' così oppure è un problema di ricezione mia?. Grazie." 14 NOVEMBRE 2011 - Lunedì Ore 13.00 - MUX TELESTAR: ANCHE IN LIGURIA ARRIVA CANALE 77. UHF 51 Mux TELESTAR LIGURIA: Come era prevedibile, oltre che in Lombardia e in Piemonte, anche in Liguria è stato eliminato dal canale Telestar 7 Gold GE, con LCN 77, il logo di 7 Gold Plus ed è stato inserito quello di Canale 77. Al momento l'epg riporta ancora la scritta Telestar 7Gold GE. Ore 12.50 - SPORTELLO TV DIGIT@LE: E' ARRIVATA NUOVA POSTA DA SARZANA (LA SPEZIA). Ci scrive Massimo da Sarzana, in provincia di La Spezia. Ecco in dettaglio la sua email, che potete leggere anche nella pagina dello SPORTELLO TV DIGIT@LE. "Buongiorno, approfitto del vostro utile servizio, per comunicare che nella mia zona, scrivo da Sarzana, SP, dal 12 Novembre, è scomparso il segnale digitale dei programmi RAI, tutti. Non si vede neppure MTV. Si vedono soltanto e benissimo, i programmi Mediaset, un po' LA 7, e qualche altro canale qua e là. Qualcuno gentimente sa cosa è successo ? Grazie, cordiali saluti. Massimo." 12 NOVEMBRE 2011 - Sabato Ore 15.35 - SPORTELLO TV DIGIT@LE: E' ARRIVATA NUOVA POSTA DA GENOVA. Ci scrive Matteo da Genova. Ecco in dettaglio la sua email, che potete leggere anche nella pagina dello SPORTELLO TV DIGIT@LE. "Buongiorno, ad oggi 12 novembre la situazione di Genova Albaro-Sturla non è delle migliori, abbiamo perso molti canali premium mediaset, soprattutto tutti i canali premium calcio ad esclusione di premium calcio hd2. Faccio presente che prima dello switch era il contrario si vedevano tutti tranne calcio hd2. Potete verificare se è un problema generale o è colpa del nostro impianto? Grazie mille Matteo." Ore 12.50 - IN EVIDENZA - ESCLUSIVA: L'ELENCO DETTAGLIATO DEGLI IMPIANTI RIPETITORI NAZIONALI E DI LIGURIA, TOSCANA, UMBRIA E MARCHE. Riceviamo e pubblichiamo una mail dell'Associazione emittenti locali REA di Roma che descrive nel dettaglio la pianificazione fatta dall'AGCOM per l'assegnazione alle emittenti nazionali e locali di Liguria, Toscana, Umbria e Marche che mette in evidenza tra le altre cose, le problematiche di possibili interferenze con l'estero da parte delle emittenti toscane. "Vi scrivo perchè il caso ha voluto che io sia entrato in possesso per conto della nostra associazione di emittenti REA con sede a Roma dei file che descrivono esattamente come hanno pianificato all'AGCOM le assegnazioni delle frequenze alle emittenti nazionali e locali. Ne è venuto fuori un quadro devastante che bloccherà l'attività delle emittenti locali che passano al digitale, al momento soprattutto in Toscana. Infatti da questi file ne emerge un quadro in cui anche chi avrà le frequenze non gli saranno utili quando le reti televisive estere (per la Toscana la Francia in Corsica e Costa Azzurra) protesteranno per le interferenze. Infatti le emittenti assegnatarie di frequenze si illudono (o non hanno capito) di accendere gli impianti a potenze eguali a quelle delle emittenti nazionali ma non è così. Le differenze sono sconvolgenti: da 1 a 100 fino a oltre 1 a 1000 e per TUTTE le frequenze (escluso i microripetitori tra le montagne che non verrano nemmeno accesi per i costi). I file li ho passati alle emittenti Toscane ma forse non li hanno capiti o li temono come un fantasma ma al Ministero giurano che li faranno rispettare; e chi conosce qualcosa di emissioni Tv e di centralini di antenna sa benissimo che differenze di questo tipo rendono impossibile la ricezione. aggiungo sotto qualche tabellina esemplificativa: Monte Cetona non è più previsto per la Toscana ma solo per l'Umbria. Non è prevedibile nessuna convivenza tra le due aree MONTE CETONA OGNI DIREZIONE (PIENA AREA DI SERVIZIO IMPIANTO) come detto è spento, non esiste.....
ROSELLE (per Grosseto) Nazionale eguale in OGNI DIREZIONE (PIENA AREA DI SERVIZIO IMPIANTO) Locale un buco di 25 dB in direzione 250 gradi 30 dB di meno (spento e basta)
AMIATA Nazionale eguale in OGNI DIREZIONE (PIENA AREA DI SERVIZIO IMPIANTO) Locale un buco di 25 dB in direzione 260 gradi (è ESATTAMENTE LA CORSICA ma ci sono tantissime abitazioni in quella direzione bucata .....) potenza 20 dB di meno (spento è eguale)
Poggio Incontro Nazionale: eguale in OGNI DIREZIONE (PIENA AREA DI SERVIZIO IMPIANTO) Locale: un buco di 25 dB in direzione 260 gradi (è ESATTAMENTE LA CORSICA ma ci sono tantissime abitazioni in quella direzione bucata .....) se non ci fosse il buco sarebbe solo 10 dB più basso
SECCHIETA Nazionale: eguale in OGNI DIREZIONE (PIENA AREA DI SERVIZIO IMPIANTO CON MINIME VARIAZIONI) Locale: POCHISSIMI CANALI PREVISTI [un buco di 25 dB in direzione 260 gradi (è ESATTAMENTE LA CORSICA ma ci sono tantissime abitazioni in quella direzione bucata .....) 30 dB di meno - equivale a spento.....
Le stesse situazioni si ripetono per altri siti importanti come Serra (per tutte le frequenze....), Argentario (quà per prendere in giro meglio oltre al bassissimo livello hanno previsto polarizzazione invertita). Insomma, al Ministero interessa solo che le emittenti spengano (si chiama SWITCH OFF) e se non riaccendono gli va benissimo.... Allego i file delle regioni Liguria Toscana Umbria e Marche (oltre al file nazionali) per poterne dare la massima diffusione anche al fine di svergognare la situazione di morte pianificata. Associazione emittenti locali REA" ELENCO IMPIANTI NAZIONALI ELENCO IMPIANTI LOCALI REGIONE LIGURIA ELENCO IMPIANTI LOCALI REGIONE TOSCANA ELENCO IMPIANTI LOCALI REGIONE UMBRIA ELENCO IMPIANTI LOCALI REGIONE MARCHE 11 NOVEMBRE 2011 - Venerdì Ore 22.40 - SPORTELLO TV DIGIT@LE: E' ARRIVATA NUOVA POSTA DA GENOVA. Ci scrive Simone da Genova. Ecco in dettaglio la sua email, che potete leggere anche nella pagina dello SPORTELLO TV DIGIT@LE. "Buonasera, ho trovato per caso il vostro sito web e devo dire che è veramente ben fatto e completo. Vi faccio una domanda che riguarda la città di Genova. Da quando c'è stato lo switch off la maggior parte dei canali Premium sono spariti. Controllando sul vostro sito l'aggiornamento dei canali per Genova ne ho dedotto che non è un problema mio; a tal proposito vorrei sapere se e più o meno quando sarà di nuovo possibile visualizzare le reti sparite. Simone da Genova." Ore 16.45 - IN EVIDENZA - SWITCH OFF: DOMANI IL PASSAGGIO DEFINITIVO AL DIGITALE ANCHE PER LA SPEZIA. Il passaggio alla televisione digitale della città di La Spezia e di parte della provincia, inizialmente previsti per il 4 novembre e sospesi a causa dell’alluvione, avverrà domani 12 novembre. Questa, nel dettaglio la lista dei comuni interessati alla transizione al digitale: Ameglia, Arcola, Beverino, Bolano, Calice al Cornoviglio, Castelnuovo Magra, Follo, Fosdinovo, La Spezia, Lerici, Ortonovo, Pignone, Portovenere, Riccò del Golfo di Spezia, Riomaggiore, Santo Stefano di Magra, Sarzana, Vezzano Ligure, Zeri. 10 NOVEMBRE 2011 - Giovedì Ore 08.25 - TELEMASONE CHIEDE UN CONTRIBUTO DIGITALE (MA CONCRETO). Riportiamo il comunicato pubblicato qualche giorno fa dal sito dell'emittente dell'omonimo comune della provincia di Genova, TeleMasone che chiede ai suoi telespettatori un contributo per adeguare i suoi impianti al digitale terrestre. Ricordiamo che al momento i programmi di TeleMasone non sono on air, le trasmissioni sono cessate il giorno del passaggio al digitale. Con il passaggio al Digitale Terrestre, il Ministero obbliga la nostra emittente a trasmettere su 3 diversi canali. Per poterci adeguare a questo cambiamento abbiamo bisogno di una somma pari a circa 20.000 euro, che ci consentirà di acquistare le attrezzature INDISPENSABILI alla messa in onda dei canali. MANCA SOLO IL VOSTRO AIUTO! La raccolta verrà effettuata dai nostri collaboratori che allestiranno un banchetto davanti all’ufficio postale nel corso del mese di Novembre (tempo permettendo), oppure attraverso il porta a porta. TeleMasone esiste da quasi 30 anni, non dimentichiamoci che è una televisione locale e racconta, attraverso i vari filmati e le interviste, la storia del nostro paese! Ciascuno di noi, almeno una volta nella vita, ha guardato anche solo un minuto di trasmissione… http://www.telemasone.com Ore 00.50 - MUX TELECAMPIONE: ATTIVAZIONE DI TLC3 MA SOLO DI NOTTE. UHF 53 (Liguria) - UHF 66 (Lazio) - UHF 62 (Piemonte-Lombardia) Mux TELECAMPIONE: Da quando Planet TV (LCN 183) ha preso il posto di TLC 3, quest' ultimo è stato eliminato, ma non del tutto, infatti effettuando una ricerca dei canali dopo la mezzanotte, oltre alla stessa Planet TV che continua a trasmettere regolarmente, si sintonizza un canale denominato TLC 3 (+1) senza LCN, con un cartello fisso con la scritta: le trasmissioni riprenderanno alle ore 6:00. Dopo le 6.00 del mattino successivo il canale viene disattivato, pensiamo pertanto che si tratti di una dimenticanza da parte di TeleCampione che attivava questo cartello per lasciare spazio di capacità trasmissiva nelle ore notturne ai canali a pagamento Nitegate. Alleghiamo due immagini scattate pochi minuti fa. ![]() 09 NOVEMBRE 2011 - Mercoledì Ore 22.00 - SPORTELLO TV DIGIT@LE: E' ARRIVATA NUOVA POSTA DA GENOVA. Ci scrive Tommaso da Genova. Ecco in dettaglio la sua email, che potete leggere anche nella pagina dello SPORTELLO TV DIGIT@LE. "Buonasera, ringrazio tutto lo staff di italiaindigitale per lo splendido sito e per la quantità e la precisione delle informazioni presenti. Mi trovo in via Trento, zona Albaro di Genova. Siccome l'impianto centralizzato del mio condominio tarda ad essere aggiornato ho deciso di installare temporaneamente una mia antenna sul tetto del palazzo. Si tratta di una semplice logaritmica in linea ottica col monte Fasce dalla quale ottengo risultati molto soddisfacenti in termini di potenza e BER/MER su tutti i mux tranne che per Timb1 e Timb2 sui canali 47 e 60: segnale praticamente nullo e grande frustrazione. Ruotando l'antenna in direzioni diverse posso ottenere miglioramenti ma perdo di volta in volta gli altri segnali. Il problema è temporaneo oppure è noto e mi devo armare di santa pazienza e aspettare che sincronizzino le SFN? Un'antenna più direttiva potrebbe risolvere la situazione? Personalmente credo di no perché il segnale che ricevo è quasi nullo e dubito che questo sia dovuto alla presenza di segnali in opposizione di fase, ma potrei sbagliarmi. Chiedo lumi. Grazie, Tommaso." 08 NOVEMBRE 2011 - Martedì Ore 16.50 - SPORTELLO TV DIGIT@LE: E' ARRIVATA NUOVA POSTA DA GENOVA. Ci scrive Maurizio da Genova. Ecco in dettaglio la sua email, che potete leggere anche nella pagina dello SPORTELLO TV DIGIT@LE. "Buongiorno, dal giorno dello switch-off a Genova e fino ad oggi, il canale di LA7 è sparito dalla ricezione in tutta la mia zona, ponente della città (Prà), credo che l’antenna condominiale sia indirizzata verso il ripetitore M.Fasce, ho provato più volte a effettuare la sintonizzazione in automatico, cancellando le memorizzazioni precedenti, ed anche quella in manuale sui canali 60, 42 e 47 senza nessun effetto, non credo sia l’antenna perché è l’unico segnale che non viene recepito e inoltre, fino al giorno dello switch-off la trasmissione in digitale era perfetta, è possibile che ci siano ancora dei tempi tecnici di attesa o dobbiamo rinunciare a vederla? Grazie e Cordiali Saluti. Maurizio." 07 NOVEMBRE 2011 - Lunedì Ore 20.05 - SPORTELLO TV DIGIT@LE: E' ARRIVATA NUOVA POSTA DA VILLANOVA D'ALBENGA (SAVONA). Ci scrive Stefano da Villanova D'Albenga, in provincia di Savona. Ecco in dettaglio la sua email, che potete leggere anche nella pagina dello SPORTELLO TV DIGIT@LE. "Stefano da Villanova D'Albenga (SV) Liguria. Qui abbiamo problemi di ricezione per tutti i 3 mux di telecom italia uhf 42 47 60 dall' impianto di monte Fasce Genova in alcune zone del comune il segnale è basso ho potuto misurarlo perchè ho un misuratore di campo. Idem per Rete A tutti i mux uhf 32 33 sempre da monte Fasce (Ge), il giorno del switch-off erano molto forti ora quasi assenti o evanescenti. Ho già contattato via mail Telecom Italia Media B. ma se ne infischiano, basterebbe potenziare di poco il segnale verso Albenga! Saluti. Stefano." 06 NOVEMBRE 2011 - Domenica Ore 12.20 - SPORTELLO TV DIGIT@LE: E' ARRIVATA NUOVA POSTA DALLA LIGURIA. Ci scrive un anonimo dalla Liguria. Ecco in dettaglio la sua email, che potete leggere anche nella pagina dello SPORTELLO TV DIGIT@LE. "Buonasera... volevo sapere se avete notizie sul ripetitore di monte Tugio... non trasmette da venerdi sera... grazie..." Ore 12.00 - SPORTELLO TV DIGIT@LE: E' ARRIVATA NUOVA POSTA DA MILLESIMO (SAVONA). Ci scrive Daniela da Millesimo, in provincia di Savona. Ecco in dettaglio la sua email, che potete leggere anche nella pagina dello SPORTELLO TV DIGIT@LE. "Abito in Liguria, provincia di Savona (Millesimo) e prima dell'avvento del digitale terrestre vedevo i canali Boing e Cartoonito benissimo, contemporaneamente allo switch off non li vedo più: potreste indicarmi se è ancora possibile vederli e come fare per risintonizzarli? Grazie. Daniela." 05 NOVEMBRE 2011 - Sabato Ore 10.15 - SPORTELLO TV DIGIT@LE: E' ARRIVATA NUOVA POSTA DA GENOVA. Ci scrive Beatrice da Genova. Ecco in dettaglio la sua email, che potete leggere anche nella pagina dello SPORTELLO TV DIGIT@LE. "Salve. Scrivo da Genova Centro. Possiedo due televisori: - uno acquistato l'anno scorso con decoder incorporato, tramite il quale vedo tutti i canali senza problemi, dopo aver effettuato la risintonizzazione a seguito dello switch off; - l'altro, più vecchio, al quale ho collegato il decoder: vedo soltanto alcuni canali tipo cielo, rai movie, rai storia, arturo ed altri di questo tipo, che prima dello switch off non vedevo. Invece non ricevo per nulla, pur avendo effettuato più volte la risintonizzazione, i canali: RAI1, RAI2, RAI3, RETE4, CANALE 7, LA 7, LA7 digitale, IRIS, RAI 4 ed altri ancora. Potete darmi un consiglio utile? Grazie. Beatrice P.S.: Presumo che non sia un problema di antenna condominiale perchè con uno de i televisori ricevo perfettamente. " 04 NOVEMBRE 2011 - Venerdì Ore 18.35 - RAI A GENOVA: I TRUCCHI PER PROVARE A RICEVERLA. In qualche caso si può anche sperare di risolvere il problema con un piccolo trucchetto nel risintonizzare il decoder o la tv già dotata di «traduttore» del segnale. «Può capitare di non ricevere la Rai perch´ ad esempio si prende il segnale dal ripetitore di Portofino che trasmette sulla frequenza 09 - spiega Nicola Crasta, il referente dell'Ascom per gli antennisti -. I decoder e le tv più vecchie non la riconoscono come frequenza europea. In questo caso sarebbe sufficiente riprogrammare tutto, mettendo come paese, ad esempio, la Germania». Ma c'è anche una questione di «forza» del segnale trasmesso. «Ad esempio quelli del monte Fasce sono volutamente e giustamente tenuti bassi dalla Rai per evitare altri problemi - conferma ancora l'esperto - In realtà in questo caso è sufficiente usare due antenne diverse, che ricevono e miscelano più segnali. Così la Rai funzionerà benissimo». Ma se riprogrammare il decoder può essere un'operazione da fare da soli, qui si va già sul tecnico. «Ma infatti, questa sarebbe stata un'operazione da fare con l'aiuto di un antennista - spiega Crasta -. Chi ha dimestichezza con il mestiere sa che è cosa da poco, ma bisogna farla. Non ci si può lamentare che non si vede niente, magari incolpare la Rai o un'altra emittente, se in realtà l'amministratore di condominio non ha mai provveduto a far predisporre l'antenna o verificare l'impianto. Magari anche solo cercando di ricevere il segnale da altri ripetitori». C'è un terzo possibile problema. Ancora più tecnico. L'isofrequenza. «È la sommatoria di più segnali uguali - aggiunge l'antennista -. È un problema che esiste in tutta Italia, ma è ancor più sentito a Genova dove ci sono ben 16 ripetitori. Ma anche in questo caso è lavoro da esperti». Come fare comunque per tornare a vedere le trasmissioni normali? Anche i tecnici delle emittenti ci stanno lavorando. Si sta ricalibrando la trasmissione del segnale, ma ci vorranno ancora due o tre settimane di pazienza perch´ tutto vada a posto. Nel frattempo, specie in zona alte della città come Circonvallazione a monte, una parte di Nervi, Quarto alta, ma anche Sampierdarena nella zona dell'ospedale, la cosa più semplice è quella di chiedere l'intervento di in antennista esperto. Tratto da: http://www.ilgiornale.it/genova/ecco_tutti_trucchi_provare_prendere_anche_segnale_rai Ore 18.30 - RAI GENOVA: LA SEDE E' SENZA ELETTRICITA'. Il Tg2 delle ore 18.00 riferisce che la sede genovese della TGR è al momento senza energia elettrica, i collegamenti con i TG nazionali sono effettuati via cellulare, i telefoni di rete fissa sono al momento isolati. Il TGR delle 19.30 è andato in onda grazie all'ausilio di un gruppo elettrogeno. TGR LIGURIA EDIZIONE DELLE 19.30 Ore 18.20 - EMERGENZA MALTEMPO IN LIGURIA: LA DIRETTA DI PRIMOCANALE. L'emittente ligure Primocanale (LCN 10) oggi ha interrotto la normale programmazione per trasmettere uno speciale in diretta sull'emergenza maltempo a Genova. Per l'occasione ci informano che Primocanale Sport (LCN 12) sta trasmettendo la programmazione di Primocanale. Potete seguire la diretta in questo link: http://www.primocanale.it/streaming.php 03 NOVEMBRE 2011 - Giovedì Ore 23.35 - SPORTELLO TV DIGIT@LE: E' ARRIVATA NUOVA POSTA DA RECCO (GENOVA). Ci scrive Paola da Recco, in provincia di Genova. Ecco in dettaglio la sua email, che potete leggere anche nella pagina dello SPORTELLO TV DIGIT@LE. "Solo per segnalarvi che dopo lo S.O., abito nelle alture di Recco, sono completamente senza segnale gli uhf 26 e uhf 36, mentre prima dello s.o. erano attivi. Ci sono problemi? Il ns. non è un impianto condominiale. Il televisore è marca LG con decoder integrato. Avete suggerimenti? Grazie mille. Paola." Ore 17.50 - SPORTELLO TV DIGIT@LE: E' ARRIVATA NUOVA POSTA DA GENOVA. Ci scrive Marco da Genova. Ecco in dettaglio la sua email, che potete leggere anche nella pagina dello SPORTELLO TV DIGIT@LE. "Al momento dal ripetitore del Monte fasce di Genova direzione ponente non ricevo i seguenti canali (mux): CH.32 (Rete A Dvb 1) CH.33 (Rete A Dvb 2) CH.42 (Timb3 Dvb) CH.45 (Studio Nord Tv Dvb) (segnale presente ma senza canali memorizzabili) CH.52 (Mediaset Dvb 1) CH.53 (Teleliguria Dvb) CH.60 (Timb2 Dvb) Potete dare informazioni a riguardo? Grazie, Marco." Ore 16.45 - SPORTELLO TV DIGIT@LE: E' ARRIVATA NUOVA POSTA DA GENOVA. Ci scrive un anonimo da Genova. Ecco in dettaglio la sua email, che potete leggere anche nella pagina dello SPORTELLO TV DIGIT@LE. "Non vedo i canali La 7." Ore 14.05 - REALIZZATA LA LISTA LCN DELLA LIGURIA. E'
disponibile la lista delle emittenti della Liguria ordinata in base alla
numerazione automatica LCN. Per visualizzarla clicca nel link seguente > LISTA LCN LIGURIA .02 NOVEMBRE 2011 - Mercoledì Ore 23.50 - SPORTELLO TV DIGIT@LE: E' ARRIVATA NUOVA POSTA DALLA LIGURIA. Ci scrive un anonimo dalla Liguria. Ecco in dettaglio la sua email, che potete leggere anche nella pagina dello SPORTELLO TV DIGIT@LE. " Zona Levante. Prima dello switch off si ricevevano perfettamente i canali di cartoni animati tipo Boing K2 cartoonito etc.......dopo lo switch off non si ricevono più nonostante la risintonizzazione quotidiana dei canali digitali. Potete aiutarci?" Ore 21.00 - IN EVIDENZA : LE ZONE ALLUVIONATE DELLA PROVINCIA DI LA SPEZIA NON PASSERANNO AL DIGITALE FINO A NUOVO ORDINE. Lo switch off doveva avvenire il 3 e 4 novembre. Niente digitale terrestre, almeno per il momento, nella provincia della Spezia, in seguito alle tragiche inondazioni. La Spezia - Le zone dell'alluvione non passeranno al digitale terrestre, almeno per il momento. La Provincia della Spezia dunque non effettuerà almeno per ora lo switch off, che sarebbe dovuto avvenire il 3 e 4 novembre. Lo ha deciso il ministero dello sviluppo economico. In particolare, le attivita' di transizione alla nuova tecnologia del servizio pubblico sono rinviate nei Comuni di Levanto, Monterosso al Mare, Vernazza, Borghetto di Vara, Rocchetta di Vara, Sesta Godano e Zignago. Le trasmissioni televisive in questi Comuni resteranno dunque in tecnica analogica per consentire la continuità del servizio pubblico, gli adempimenti tecnici necessari alla trasmissione e ricezione della tv digitale sono posticipati a quando sara' superata l'attuale fase di emergenza. Tratto da: http://www.lanazione.it/laspezia/cronaca/2011/11/02/612424-alluvione_spezia Ore 19.30 - IN EVIDENZA : ECCO IL MASTER PLAN DELLE PROVINCIE DI LA SPEZIA E MASSA CARRARA. Oggi è uscito il masterplan ufficiale delle provincie di La Spezia e Massa Carrara. Ringraziamo Otgtv per averlo diffuso tramite Digital-forum. Ecco in allegato il documento. MASTERPLAN LA SPEZIA - MASSA CARRARA Ore 19.00 - MUX EUROTELEVISION TELEGENOVA: AGGIUNTO IL CANALE GOLD TV ITALIA. UHF 29 Mux EUROTELEVISION TELEGENOVA: E' stato aggiunto un nuovo canale nel mux EUROTELEVISION TELEGENOVA sul canale 29 UHF. Si stratta della romana Gold TV Italia, con numerazione LCN 179. Ore 18.45 - SPORTELLO TV DIGIT@LE: E' ARRIVATA NUOVA POSTA DA GENOVA. Ci scrive Evelina da Genova. Ecco in dettaglio la sua email, che potete leggere anche nella pagina dello SPORTELLO TV DIGIT@LE. "Buongiorno, nella mia zona di Genova Sturla non si ricevono i canali RAI 1 RAI 2 RAI3, gli altri nuovi della rai RAI 4 RAI 5 ECC si, cosa dobbiamo fare? Grazie. Evelina." Ore 12.30 - MUX TELECAMPIONE: ELIMINATA TLC 3, CAMBIO DI LCN PER PLANET TV. UHF 53 Mux TELECAMPIONE: E' stato eliminato il canale time-shift TLC 3 (+1), e la sua numerazione LCN è stata presa da Planet TV, che passa dalla posizione 661 alla 183. Abbiamo aggiornato lo z@pping tv del multiplex. ![]() Update ore 12.50: Alcuni istanti fa è stata aggiunta sotto il logo di Planet TV la scritta TLC 3, come potete vedere dalle immagini. Ci scrive Mauro da Genova. Ecco in dettaglio la sua email, che potete leggere anche nella pagina dello SPORTELLO TV DIGIT@LE. "Buongiorno, sono Mauro e abito a Genova - Quarto. Nei giorni scorsi l'amministratore ha fatto intervenire un antennista perchè alcuni condomini dicevano di non ricevere il segnale (io non vedevo solo LA7). L'antennista ha eliminato la vecchia centrale di testa a filtri della Fracarro e ha installato una nuova Centrale Mediasat Multidigit DTT 2000. Da quel momento il mio televisore (Sony KDL-32W4000) collegato all'impianto centralizzato non riesce più a ricevere i segnali RAI 1 - RAI 2 e RAI 3 che con il vecchio impianto, anche dopo lo switch off vedevo benissimo. Viste le mail degli altri utenti potete aggiornare le notizie sulla qualità del segnale RAI dal Monte Fasce? Su che canale viene trasmesso? Era proprio indispensabile sostituire l'antenna e la vecchia centrale a filtri Fracarro? Grazie per le risposte che riuscirete a darmi. Buon lavoro." 31 OTTOBRE 2011 - Lunedì Ore 20.10 - SPORTELLO TV DIGIT@LE: E' ARRIVATA NUOVA POSTA DA SESTRI LEVANTE (GENOVA). Ci scrive Francesco da Sestri Levante, in provincia di Genova. Ecco in dettaglio la sua email, che potete leggere anche nella pagina dello SPORTELLO TV DIGIT@LE. "Sono Francesco, ho ricevuto regolarmente i segnali dei mux Mediaset dal m.te Fasce (Genova) nel giorno dello switch off, poi la situazione è peggiorata sino a non ricevere più alcun segnale. Potrebbe essere un problema comune o dovuto al mio impianto? Grazie." Ore 17.55 - SPORTELLO TV DIGIT@LE: E' ARRIVATA NUOVA POSTA DA SAVONA. Ci scrive Giovanni di Savona. Ecco in dettaglio la sua email, che potete leggere anche nella pagina dello SPORTELLO TV DIGIT@LE. "Buonasera. Secondo le mie rilevazioni al momento non mi risultano essere mai stati attivati dal ripetitore Crocetta i mux dei seguenti canali: 28 Primantenna, 29 Telegenova e 53 Teleliguria. Confermo come da Voi segnalato in tabella che da tale ripetitore è assente il canale 35 Italia 8. PregandoVi di controllare se quanto da me indicato risulta corretto cordialmente saluto. Giovanni - Savona." Ore 10.15 - SPORTELLO TV DIGIT@LE: E' ARRIVATA NUOVA POSTA DA GENOVA. Ci scrive un anonimo di Genova. Ecco in dettaglio la sua email, che potete leggere anche nella pagina dello SPORTELLO TV DIGIT@LE. "Salve da 4 giorni non si vede la Rai a Genova centro. Ho una tv con decoder incorporato e non si vede nulla, non prende manco il mux Rai muto e buio, con un altra tv col decoder esterno prendo il mux 1 ma a scatti e non si sente quasi nulla. E' il famoso problema della Toscana che rompe i maroni o a Genova ce un problema sui ripetitori? Perche io prima prendevo la rai alla grande su entrambe le tv. Saluti " 29 OTTOBRE 2011 - Sabato Ore 15.30 - SPORTELLO TV DIGIT@LE: E' ARRIVATA NUOVA POSTA DA GENOVA. Ci scrive Franco da Genova. Ecco in dettaglio la sua email, che potete leggere anche nella pagina dello SPORTELLO TV DIGIT@LE. "Dal giorno del passaggio al digitale terrestre non si vede piu calcio mediaset e collegati - la 7 e altri che dovrebbero essere sul canale 52. Genova centro. Cordiali saluti. Franco." Ore 00.05 - I GENOVESI E IL DIGITALE TERRESTRE IN UN VIDEO DEL SECOLO XIX. Genova - Ancora code fuori dai negozi di elettronica nel capoluogo ligure dopo lo switch off del digitale terrestre. I genovesi si attrezzano acquistando i decoder, ma qual è la situazione? Le telecamere del Secolo XIX hanno chiesto agli acquirenti quali sono le problematiche con cui si trovano a fare i conti, la facilità o meno di utilizzo delle apparecchiature, il costo dell'operazione che permette di vedere i programmi televisivi sul digitale. Nel video il commento dei genovesi e di un responsabile vendite di un negozio di prodotti elettronici: http://bcove.me/wmbxlw8y Tratto da: http://www.ilsecoloxix.it/p/genova/2011/10/28/AOcAd2HB-digitale_terrestre_sconosciuto 28 OTTOBRE 2011 - Venerdì Ore 18.00 - SPORTELLO TV DIGIT@LE: E' ARRIVATA NUOVA POSTA DA GENOVA. Ci scrive Emanuela da Genova. Ecco in dettaglio la sua email, che potete leggere anche nella pagina dello SPORTELLO TV DIGIT@LE. "Da casa mia che si trova a Sturla di fronte al monte Fasce non riesco a sintonizzare neppure manualmente il multiplex 2 di Mediaset con Boing, Iris e Coming soon television. Emanuela." Ore 16.00 - SPORTELLO TV DIGIT@LE: E' ARRIVATA NUOVA POSTA DA GENOVA. Ci scrive G.Pareto da Genova. Ecco in dettaglio la sua email, che potete leggere anche nella pagina dello SPORTELLO TV DIGIT@LE. "Ieri pomeriggio all' improvviso le reti rai 1-2-3-rai 24 sono diventate mute e si vedono movimenti a scatto. Io uso chiavetta SKY per sintonizzarle. Provato a risintonizzare ma nulla cambia, tutte altre mediaset la7 OK. Altri hanno mio stesso problema? G.Pareto." Ore 14.50 - GENOVA DIGITALE: LA RAI RESTA UN MIRAGGIO. GENOVA - Il segnale c’è, ma (la tv) non si vede. Oggi a Genova termina la procedura dello switch off ma ancora ieri decine di genovesi hanno scritto in redazione e sul sito del Secolo XIX lamentandosi per l’oscuramento di alcuni canali. Una situazione destinata a migliorare con l’accensione dei ripetitori ancora mancanti, soprattutto nel levante. Anche perché, in molti casi, il non captare alcuni canali non è colpa dell’assenza del segnale, ma della mancata sintonizzazione del decoder, per esempio, o di antenne vecchie e non adatte. «È una situazione a macchia di leopardo - spiega l’antennista Giuseppe Giacomini - perché ad esempio in alcuni edifici di San Fruttuoso non si vede la Rai, in altri sì. Il problema spesso sono i filtri dell’antenna che vanno sostituiti. In ogni caso è un mezzo pasticcio e stiamo cercando di risolvere i problemi più urgenti». Un pasticcio al quale hanno contribuito diversi fattori: qualche problema sui ripetitori - ieri il monte Fasce trasmetteva un segnale debole e il mux 1, quello dove viaggiano Rai1, Rai2, e Rai3, non si vedeva in mezza Genova, molti problemi sulle antenne e una buona dose di impreparazione da parte di molti genovesi smarriti davanti a decoder e menù di installazione. «Mercoledì ci sono stati grossi problemi con il ripetitore della Rai sul monte Fasce, che trasmetteva un segnale debole e fino al mattino di ieri il segnale era indecoroso. Dal Righi, invece, non ci sono stati problemi e non ha avuto problemi nemmeno Mediaset, ma la situazione varia da quartiere a quartiere e dovrebbe migliorare con l’accensione dei ripetitori secondari» spiega ancora l’antennista, che prosegue: «La situazione è tutta in divenire. Bisogna ricordare che i canali disponibili tra radio e tv sono più di 250 e molti, in questi giorni, anche se non si lamentano perché riescono a vedere i canali principali, in realtà ricevono solo una parte dell’offerta del digitale terrestre». E mentre gli amministratori di condominio sono subissati dalle telefonate dei condomini preoccupati perché non vedono più alcuni canali e i ritardatari si precipitano ad acquistare il decoder, gli addetti ai lavori invitano alla calma. «Ieri la situazione era ancora fluida - spiega Gabriele Talarico, che si occupa del digitale terrestre per la Regione Liguria - e i problemi possono essere molteplici. Certo, ci sono zone in cui è mancata la copertura, ma si tratta di uno dei problemi minori: gli impianti trasmittenti sono stati adeguati e le emittenti dovranno magari aggiustare il tiro. Il monte Fasce ha trasmesso con meno potenza del previsto, ma questo è successo anche perché il grande impianto sul monte Serra, in Toscana, trasmette ancora in analogico e lo influenza pesantemente». Bisogna ricordarsi che la Liguria sarebbe dovuta passare al digitale nel 2010 e la Toscana nel 2012 e che proprio a causa delle interferenze del monte Serra si decise di posticipare lo switch off ligure e di anticipare quello toscano, previsto dal 7 al 23 di novembre. Tornando al problema più diffuso, cioè la “sparizione” di alcuni canali, potrebbe essere colpa dell’antenna: se è un problema di filtri, è necessario chiamare l’antennista e farli ritarare ma se è un problema di potenza, potrebbe essere necessario sostituirla. Molti decoder, infatti, non considerano il segnale se questo arriva troppo debolmente. «C’è un discorso legato alla città che fa sì che nella stessa via alcuni vedano e altri no - spiega Talarico -, a seconda del tipo di antenna che è installata sul tetto. Le derivazioni in casa, poi, a seconda del tipo di impianto, fanno passare tutti i segnali o solo una parte e capita che in cucina non si vedano tutti i canali che si vedono in salotto». Ricapitolando: già nel corso della giornata la situazione dovrebbe stabilizzarsi, almeno a Genova. Le emittenti stanno ancora lavorando per ottimizzare il segnale, procedure che non potevano fare prima perché devono essere senza l’interferenza del segnale analogico. È bene quindi rifare, nei prossimi giorni, la sintonizzazione dei canali. Se i segnali arrivano con poca potenza e si vede tutto “a quadretti”, rivolgersi a un antennista. Se invece abbiamo due televisori in casa e su uno vediamo bene e sull’altro no, proviamo prima a scambiare i decoder e a vedere cosa succede. Se il problema persiste è meglio chiamare un tecnico per controllare se l’antenna è adeguata o se si tratta di solo di rifare la derivazione. Tratto da: http://www.ilsecoloxix.it/p/genova/2011/10/28/AO5d9uHB-digitale_miraggio_lotteria 27 OTTOBRE 2011 - Giovedì Ore 22.15 - REALIZZATE LE LISTE DELLE TV AD IMPERIA E A SANREMO. Nelle nostre pagine di LIGURIA IN DIGITALE abbiamo inserito le nuova liste delle TV AD IMPERIA e delle TV A SANREMO (IM), dove potete consultare tutti i mux ricevibili, la loro composizione e le immagini dei canali con il nostro esclusivo z@pping TV. Ore 11.00 - SPORTELLO TV DIGIT@LE: E' ARRIVATA NUOVA POSTA DA GENOVA. Ci scrive Massimo da Genova. Ecco in dettaglio la sua email, che potete leggere anche nella pagina dello SPORTELLO TV DIGIT@LE. "Mancano parecchi canali quali La 7, Rai 4 e molti altri. Grazie per tutto. Massimo." Ore 08.20 - SAVONA IN DIGITALE: REALIZZATA LA NUOVA LISTA TV. Savona è in digitale, e nelle nostre pagine di LIGURIA IN DIGITALE abbiamo inserito la nuova lista delle TV A SAVONA, dove potete consultare tutti i mux ricevibili, la loro composizione e le immagini dei canali con il nostro esclusivo z@pping TV, per il momento solo di quelli nazionali, nei prossimi giorni verranno aggiornati anche i multiplex delle emittenti televisive locali. 26 OTTOBRE 2011 - Mercoledì Ore 23.30 - GENOVA IN DIGITALE: REALIZZATA LA NUOVA LISTA TV E LO Z@PPING TV DI RAI MUX 1 LIGURIA. Da oggi Genova è in digitale, e nelle nostre pagine abbiamo inserito la nuova lista delle TV A GENOVA, dove potete consultare tutti i mux ricevibili, la loro composizione e le immagini dei canali, per il momento solo di quelli nazionali, nei prossimi giorni aggiungeremo anche quelle delle tv locali. Abbiamo realizzato anche la tabella con i dettagli dei canali, le postazioni trasmittenti e lo z@pping TV di RAI mux 1 LIGURIA, nella nostra sezione MUX NAZIONALI. Ore 21.40 - SPORTELLO TV DIGIT@LE: E' ARRIVATA NUOVA POSTA DA COGOLETO (GENOVA). Ci scrive Marco da Cogoleto, in provincia di Genova. Ecco in dettaglio la sua email, che potete leggere anche nella pagina dello SPORTELLO TV DIGIT@LE. "Ciao a tutti, qui a Cogoleto non si riescono a sintonizzare i canali Mediaset. Posso sapere le motivazioni e se esiste un modo per poter ricevere il segnale? Faccio rilevare di aver già risintonizzato la mia tv diverse volte. Grazie per quanto potrete fare, Marco. " 25 OTTOBRE 2011 - Martedì Ore 22.00 - L'ANGOLO DEL BUONUMORE CON L'ATTESA DEL DIGITALE A GENOVA. Digitale humanum est. La guida di Enzo Costa alla nuova tv. La fenotipologia dei genovesi digitali terrestri. L'autore dei Lanternini e delle Rime bacate ci regala una preziosa guida al cambiamento epocale. Domani lo swtich off a Genova: niente panico. Con
l’arrivo del digitale terrestre si sono manifestati alcuni esemplari
umani molto interessanti. Io ne ho isolati ed esaminati cinque. Eccoli
qui di seguito. Il consulente globale – È l’amico che sa tutto sul digitale terrestre, e purtroppo lo vuole spiegare a te: in questi giorni, se lo incontri, non hai scampo: anche se gli dici “Visto che brutta fine, Gheddafi?”, oppure “Certo che il freddo ora si fa sentire!” o anche “Ho avuto una colica renale terrificante!”, lui replicherà: “Sta arrivando il digitale terrestre!” e, quel che è peggio, si lancerà immediatamente in una prolusione sterminata su pregi e difetti del decoder, vizi e virtù dell’analogico, vantaggi e svantaggi dello switch-off, qualità e limiti del parch-on, delizie ed amarezze dello sdong-out, meriti e demeriti del tirx-down. Le ultime tre paroline se le è inventate lui, giacché il consulente globale (stra)parla a prescindere dalla sua competenza in materia, che non dico sia pari alla tua: è inferiore. Di solito, infatti, fa il fioraio. È lo stesso individuo che, fino ad un paio di settimane fa, se ti incontrava ti faceva una testa così su rating, bund, default, steller, woops e cheestick(almeno tre termini inesistenti, per contratto, li spara sempre). L’esperto
televisivo – Due cose lo distinguono dal consulente globale: il fatto
che è un vero esperto patentato, e il fatto che invece che per la strada
lo incontri alla tv. È lì che, via via disseminato per tiggì,
comunicati di servizio e prologhi del meteo, ti spiega come fare col
digitale. Ed è lì che ti chiedi come mai non abbiano chiamato, al posto
suo, il tuo amico consulente globale, che ne sapeva di più e magari
costava anche meno. Unico vantaggio: a switch-off ultimato, non lo vedi
più. Però, molto probabilmente, non vedi più nemmeno la tv Il
black and white bloc – È quel signore gentile ed educato ma talmente
esasperato dall’attesa acritica e messianica per il Sistema Televisivo
del Multidigitale, che progetta di staccarsi a sorpresa dalla fila di
acquirenti di decoder in cui si trova da oltre cinque ore, per lanciare
un estintore contro l’incolpevole commessa. Poi, per fortuna, recede
dall’insano proposito. Ma quando finalmente tocca a lui, compra un
Phonola analogico in bianco e nero che era nel negozio a mo’ di
arredamento vintage. Tratto da: http://www.viveregenova.comune.genova.it/content/digitale-humanum-est-la-guida-di-enzo-costa-alla-nuova-tvIl nonno multimediale – È l’unico che sa davvero tutto del digitale. Avendo scaricato dal web un programma pirata visto su YouTube che ha poi installato su un decoder di terza generazione da lui acquistato su e-bay, esibisce la calma olimpica di chi è certo che non solo riuscirà a vedere il digitale terrestre, ma lo vedrà in 3D. E senza condividerlo con i nipoti, che si accontenteranno della radio a galena. L’ansioso apocalittico-luddista – Refrattario com’è a qualsivoglia novità nel campo della tecnologia, vive l’arrivo del digitale terrestre come una Sciagura Epocale da cui lui, se non l’umanità intera, non si riprenderà più. Non badando al fatto che avesse pensato le stesse cose per l’arrivo della banda larga, di Internet, del pc, della tv a colori, del mangiadischi e via via risalendo la corrente dei ritrovati tecnologici della seconda metà del 20º secolo. Maschera malamente i suoi malumori catastrofisti firmando articoli pseudospiritosi dedicati a cinque tipi umani alle prese con il digitale terrestre. Ore 18.25 - DIGITALE TERRESTRE, E' L'ORA DI GENOVA. Arriva anche a Genova il tanto atteso e temuto passaggio alla televisione digitale terrestre (DTT). Come già si sono accorti i residenti dell'imperiese e del savonese, non c'è un giorno preciso valido per tutti: dipende dalla zona dove si vive e dal ripetitore dove punta l'antenna di casa. A complicare la situazione c'è il fatto che alcune emittenti "staccano" in giorni diversi da altre. Oltre allo spegnimento del segnale analogico, va ricordato che in questi giorni sono in corso prove tecniche e in alcuni casi capita che "sparisca" il segnale di qualche canale in digitale. E' il caso dell'emittente La7: ieri sera se ne sono accorti molti genovesi che hanno inutilmente provato a guardare i programmi in digitale (con i decoder o con i televisori nuovi). Nella giornata di domani molti non saranno in grado di vedere i canali Mediaset e alcuni canali Rai. Entro venerdì 28 ottobre dovrebbe essere completato il passaggio dal vecchio al nuovo sistema per tutte le emittenti che si ricevono a Genova. Purtroppo non si sa quanto durerà il blackout ed è anche possibile che per alcune ore sia visibile ancora il segnale analogico e scompaia quello digitale: questo è dovuto al fatto che, al momento del passaggio definitivo al digitale terrestre, gli utenti dovranno risintonizzare tutti i canali come quando si compra un nuovo apparecchio e lo si porta a casa. Per tutte le informazioni si può consultare il sito internet messo a disposizione dalla Regione Liguria a questo indirizzo www.digitaleterrestre.regione.liguria.it. Tratto da: http://www.genovaogginotizie.it/cronaca/2011/10/25/news-43510/digitale-terrestre-ora-di-genova 24 OTTOBRE 2011 - Lunedì Ore 20.20 - SPORTELLO TV DIGIT@LE: E' ARRIVATA NUOVA POSTA DA RIVA LIGURE (IMPERIA). Ci scrive un anonimo da Riva Ligure, in provincia di Imperia. Ecco in dettaglio la sua email, che potete leggere anche nella pagina dello SPORTELLO TV DIGIT@LE. "Salve, io abito in Liguria in zona ponente per la preciosione Riva Ligure. Ho un TV con decoder dtt integrato Panasonic Viera e non riesco a ricevere i canali Mediaset come posso fare? Grazie." Ore 19.45 - DIGITALE A SAVONA: LA "TERRIBILE" AVVENTURA DEL SIGNOR ALDO. SAVONA - E venne il giorno del digitale terrestre a Savona dove stamane è iniziato lo switch off. I primi canali ad abbandonare il vecchio segnale analogico sono stati quelli della Rai. Il passaggio si completerà poi mercoledì con l’addio all’analogico anche per Mediaset e La7. Prosegue dunque il viaggio del digitale terrestre in Liguria, per alcuni solo una formalità, ma per altri, soprattutto i più anziani, un’evento che può scombussolare abitudini ed equilibri consolidati in tanti anni di vecchia tv analogica. È il caso, ad esempio, del signor Aldo Terribile 88 anni, una delle tante persone che stamattina si sono recate nel negozio Video Service per ricevere assistenza. Nel video del Secolo XIX i dubbi del signor Aldo e le soluzioni fornite da Roberto Basso, di Video Service Savona: http://bcove.me/skri8hxr Tratto da: http://www.ilsecoloxix.it/p/savona/2011/10/24/AOjxAhGB-digitale_avventura_terribile Ore 12.05 - CHIAVARI, LAVAGNA E SESTRI: TV DIGITALE, IL GIORNO DEL CAOS, IERI ANTENNISTI IN PRIMA LINEA. Chiavari - Caos nel primo giorno di trasmissione in digitale terrestre nella gran parte del Tigullio. Ieri, infatti, la rivoluzione delle televisioni ha avuto corso a Chiavari, Lavagna, Leivi, Carasco, Cogorno, ma anche a Sestri, Casarza, Castiglione, Moneglia. Ne segue che si è consumata una giornata autenticamente di fuoco, per gli antennisti del territorio, chiamati a verificare il funzionamento degli impianti nelle case, dopo lo spegnimento del segnale analogico da parte dei tecnici delle emittenti televisive. «Le chiamate arrivano a ripetizione, ogni mezzo minuto», conferma Luigi Gandolfo, antennista di Casarza. I problemi più frequenti? Sembrano legati alla impreparazione della gente: «Qualcuno non ha impostato la nuova ricerca dei canali sul decoder. In tre o quattro, poi, addirittura, mi hanno chiamato chiedendo come mai non si vedesse più niente». Insomma, c’è anche chi, ancora, non sapeva nulla dello switch-off, ma, a parte questo, «il segnale nel centro di Casarza arriva molto bene. Un paio di impianti condominiali avevano problemi, ma li ho regolati a larga banda ed hanno subito preso tutti i canali». Invece, qualche problema si è avuto nel cuore del Tigullio, a Chiavari e Lavagna: «Abbiamo avuto problemi, anche in centro città, con il canale 46, che è quello delle tre reti principali Rai e che, in alcuni casi, sembra fornire un segnale “quadrettato” – spiega Gian Piero Lapi, anch’egli antennista -. Con gli amministratori con i quali lavoriamo, avevamo pianificato un controllo preventivo sui filtri, ma, comunque, nelle prossime ore e nei prossimi giorni, si capirà se i problemi siano dovuti agli impianti condominiali o alla trasmissione delle emittenti, intervenendo di conseguenza». «Probabilmente, i problemi sul canale 46 sono dovuti ai filtri di alcuni condomini, che subiscono una interferenza da Portofino – aggiunge Marco Cafferata, che ha avuto analogo riscontro - Verificheremo via via. Comunque, di per sé, il segnale arriva bene, anche perché è alto come potenza, più di quanto ci aspettassimo. Sono reduce da controlli a Lavagna, nella zona della stazione, dove si vede benissimo. Semmai, ho riscontrato qualche problema in alcuni palazzi di Chiavari: direi quelli che rimangono troppo sotto al Curlo». Adesso, la via maestra, per ciascuno, è effettuare la nuova sintonizzazione sui decoder, verificare come si veda e, in caso di problemi, chiamare l’antennista (attraverso l’amministratore, se si vive in condominio) aspettando il proprio turno, vista la ressa del momento: «Nei miei palazzi avevamo appeso cartelli informativi e abbiamo preso accordi con due ditte per un controllo preventivo sui filtri – spiega Moreno Maini, presidente, nel Tigullio, dell’Anaci, associazione degli amministratori condominiali - A questo punto, siamo in attesa di verificare l’andamento del segnale, casa per casa. Diciamo che ci vorrà qualche giorno, ma, dopo il fine settimana dovremmo avere le idee più chiare». Certamente, al di fuori delle zone dove si sono riscontrati i problemi delineati sopra, i telespettatori avranno potuto apprezzare la qualità del nuovo segnale, che si presenta più nitido di quello in analogico, oltre ad offrire una ben più vasta gamma di canali. Tratto da: http://www.ilsecoloxix.it/p/levante/2011/10/22/AO7eCmFB-giorno_digitale_antennisti Ore 11.25 - IMPERIA: PASSAGGIO AL DIGITALE, «PAGHIAMO PER AVERE LO SCHERMO NERO». I sindaci: l’unica soluzione è un ripetitore privato, ma non abbiamo i soldi. Imperia - Pagare il canone per avere lo schermo nero: è quello che succede in Valle Arroscia dove la stragrande maggioranza delle famiglie non si sottrae a pagare l’abbonamento alla Rai ma, con l’avvento del digitale terrestre, non riceve le tre reti nazionali. «Siamo al grottesco - denuncia il vicesindaco di Rezzo, Marco Agnese - A quanto risulta anche da indagini giornalistiche, sulla costa il 90 per cento degli abitanti non paga il canone ma fruisce del servizio della Rai, nel nostro entroterra succede esattamente l’opposto: anche personalmente non conoscono una sola famiglia che evada il canone, tutti lo pagano ma nessuno riceve le tre reti Rai». A quanto pare anche il servizio televisivo pubblico premia i soliti furbi. «La televisione da noi - continua Agnese - svolge, o meglio svolgeva pure un ruolo sociale: spesso è l’unica compagnia, l’unico mezzo di collegamento con il mondo per tanti anziani soli, privi di mezzi di locomozione personale e lontani dalla costa». Una beffa, insomma, nata con il passaggio al digitale terrestre e con la scomparsa della Comunità Montana che, fino a qualche mese fa, gestiva i ripetitori del segnale tv. «Non abbiamo il servizio ma paghiamo il canone - polemizza Agnese Vinai, sindaco di Ranzo - Le antenne, una volta gestite dalla Comunità Montana, sono ormai abbandonate e, con le nostre povere finanze comunali, non abbiamo la possibilità di intervenire». L’alternativa sarebbe quella di farsi carico dei ripetitori tuttora esistenti ma inattivi. «Dovremmo spendere 15mila euro per uno - spiega la Vinai - e avremmo bisogno almeno di due oltre ai costi di manutenzione ed energia elettrica: un sogno impossibile con le casse comunali». E’, infatti, tutta la bassa Valle Arroscia ad essere nella peggiore situazione per la ricezione dei programmi Rai. «Nelle nostre case non vediamo niente - sostiene Piero Claveri, sindaco di Aquila d’Arroscia - anche se tutti pagano il canone. Ci vorrebbe la parabola ma costa almeno 200 euro a televisore: la Regione dovrebbe darci una mano con contributi alle famiglie o ai comuni per gestire i ripetitori». Invece l’entroterra sembra dimenticato. «Ancora una volta siamo trattati da cittadini di serie B - contesta il sindaco di Borghetto d’Arroscia, Augusto Forno - Paghiamo il canone per non vedere nulla, siamo cittadini ligi ai nostri doveri ed in cambio riceviamo solo schiaffi». Tratto da: http://www.ilsecoloxix.it/p/imperia/2011/10/21/AOZ4uSFB-paghiamo_schermo_avere 21 OTTOBRE 2011 - Venerdì Ore 08.55 - TELEMASONE SOSPENDE I PROGRAMMI PER PASSARE AL DTT. Ecco di seguito una segnalazione dal sito di TeleMasone: "Avvisiamo tutti i telespettatori di TeleMasone Valle Stura che a causa del passaggio al digitale terrestre saremo costretti a sospendere le trasmissioni per una-due settimane. Quando le trasmissioni riprenderanno in digitale saremo sul canale LCN 74." Tratto da: http://www.telemasone.com/2011/10/sospensione-temporanea-delle-trasmissioni 18 OTTOBRE 2011 - Martedì Ore 08.35 - DAL 31 OTTOBRE SAMPTV ARRIVA SUL DIGITALE TERRESTRE. Tempo di Digitale Terrestre a Genova e in Liguria, tempo di SampTv. Ormai ci siamo. Venerdì 28 ottobre il vecchio segnale analogico si spegnerà definitivamente nel capoluogo ligure per lasciare spazio al nuovo segnale digitale. Pronta come non mai, per l'occasione, anche la tivù ufficiale della Sampdoria, gestita direttamente da Alberto Marangon e da tutta l'equipe comunicazione di Corte Lambruschini. Dopo il lancio della nuova veste grafica del portale internet, www.Sampdoria.it, anche SampTv è pronta a rinnovare e a rinnovarsi. Con un unico obiettivo: rappresentare un punto fermo di informazione per tutti i tifosi del Doria. Ed è proprio per questo che col passaggio all'era digitale la tv tutta blucerchiata sarà fruibile da un numero sempre più crescente di supporters rispetto a prima. Da lunedì 31 ottobre, infatti, si alzerà il sipario sul nuovo palinsesto di SampTv, con importanti novità e soprese per chi ha il Doria che gli scorre nelle vene. Cambia il canale (sarà il 681 del digitale terrestre) ma non cambia la rosa giornalistica. Saranno i soliti Matteo Cantile, Federico Berlingheri e Federica Ruggero a guidare quotidianamente i tifosi all'interno dell'universo blucerchiato. A loro, i tifosi - appunto - non resta che mettersi comodi sul divano di casa, telecomando alla mano, canale 681 e... buona visione! Tratto da: http://www.goal.com/it/news/5/serie-b/2011/10/17/2715928/la-sampdoria-diventa-digitale-dal-31-ottobre-samptv-approda 17 OTTOBRE 2011 - Lunedì Ore 20.00 - SPORTELLO TV DIGIT@LE: E' ARRIVATA NUOVA POSTA DA IMPERIA. Ci scrive un anonimo da Imperia. Ecco in dettaglio la sua email, che potete leggere anche nella pagina dello SPORTELLO TV DIGIT@LE. "Salve io abito in Liguria a Imperia zona di Caramagna. Facendo piu volte la ricerca manuale e automatica non riesco a ricevere boing e nemmeno Mediaset Italia 2 è un problema di posizionamento dell'antenna oppure ce qualche altro problema? Ricevo 70 canali dtv contando anche i paytv e 10 radio sono normali cosi pochi canali? Spero di ricevere risposta da qualcheduno. Grazie mille." Ore 15.35 - COMUNICAZIONE DI SERVIZIO PER LA LIGURIA. Segnaliamo che nel documento della Fondazione Ugo Bordoni delle località liguri che passeranno al digitale il prossimo 19 ottobre, erano indicati, nei comuni parzialmente coinvolti, località al di fuori della Liguria che non erano ancora interessate allo switch off. Oggi il documento è stato modificato correttamente. Ore 13.45 - I PRIMI GIORNI DELLO SWITCH-OFF IN LIGURIA. Tranquillizza, come sempre, il Ministero dello Sviluppo Economico, si levano invece voci di protesta e vengono denunciati disservizi sul territorio. Lo switch-off ligure sta procedendo un po’ come i precedenti… Un rompicapo. Può sembrare il termine esatto per definire il passaggio al digitale terrestre della Liguria, partendo dal Ponente, la provincia di Imperia, e arrivando via via al Savonese e poi oltre. Nella nota ufficiale del Ministero, “è positivo, dopo i primi tre giorni, il bilancio del passaggio alla televisione digitale in Liguria. Le operazioni tecniche si sono svolte regolarmente coinvolgendo 551 impianti su un totale di circa 2300, con il costante monitoraggio dei laboratori fissi e mobili dell'Ispettorato territoriale del Ministero”. Andando a toccare le cose con mano possiamo dire che non è stato tutto rose e fiori. Se sui comuni costieri (vedi Ventimiglia, Bordighera o Ospedaletti) allo scoccare del 10 ottobre le cose sono filate relativamente lisce (in alcune zone, anche del centro cittadino di Bordighera servite dal ripetitore di piano Moreno, non c'era segnale), non altrettanto si può dire di paesi dell'entroterra o vallate dal nome quasi esotico, come Vallebona e Vallecrosia o paesi come Camporosso, Isolabona, San Biagio della Cima, Seborga (il noto principato con una sua moneta che nessuno riconosce). Qui il passaggio dalla Tv analogica al digitale non è stato poi indolore. E così giornali e siti web d'informazione locale sono stati presi d'assalto dalle critiche dei “poveri” utenti. Inoltre anche nei giorni successivi allo switch-off nelle zone di Ventimiglia e Bordighera molti decoder registravano come un segnale criptato quello di RaiUno e RaiDue, mentre tutti gli altri canali del pacchetto Rai erano perfettamente visibili (tra questi RaiTre, i due Rai Sport e gli altri). Mettiamoci l'orografia della Liguria, con poche valli e monti a picco sul mare, mettiamoci tutto il resto, comprese persone che ignoravano del tutto il passaggio dall'analogico al digitale e il quadro, al solito, non è roseo. Nelle valli imperiesi molti paesi si sono trovati divisi in isolati: quelli che riuscivano a catturare il segnale e quelli che si sono trovati con la televisione muta, prevalentemente anziani. Per aiutarli si mobiliteranno, dal 17 ottobre, gli alunni delle medie superiori del Polo Tecnologico di Imperia (Istituti Itis Galilei, Nautico Doria, Ipssct Calvi), anche con interventi a domicilio, per adeguare i televisori al passaggio al digitale terrestre nella provincia imperiese. Un'iniziativa in collaborazione con la Provincia che mette a disposizione un mezzo per lo spostamento dei circa 30 studenti volontari che offrono il servizio. A Sanremo, la città più importante della provincia, il passaggio è avvenuto nella mattinata dell'11. Partendo da Mediaset in prima mattinata alle 10.30, tutti i segnali analogici sono stati spenti ed anche le locali hanno acceso il loro nuovo segnale digitale come Telenord ed Imperia Tv mentre il bouquet Primocanale era già acceso dal 10 ottobre. La situazione, a detta dei tecnici, è stata “meno problematica del previsto” e i più fortunati sono stati gli utenti delle zone centrali della città: Ma i tecnici che erano alle prese con il ripetitore di Monte Bignone (che insieme a quello di Coldirodi serve Sanremo e dintorni) hanno segnalato abbassamenti e innalzamenti dei segnali che sono andati avanti per tutta la giornata. Passando poi al giorno 12, verso il Levante ligure il primo disservizio è stato segnalato ad Andora, primo comune della provincia di Savona coinvolto dallo switch-off, dove per poco più di un'ora nella mattinata di mercoledì si è verificato un black out Tv, dal momento che i tecnici hanno spento il segnale analogico con un'ora e mezzo di anticipo rispetto all'orario previsto delle ore 10. I telespettatori di Ventimiglia, invece, dopo il primo giorno di DTT, si sono ritrovati con lo schermo 'nero', probabilmente a causa dalle interferenze con le frequenze francesi (il Ministero ha comunicato che il disservizio potrebbe durare 2 o 3 giorni). Oggi è toccato ai comuni costieri del Savonese (come Alassio, Garlenda, Ceriale) e alle località più all'interno Nasino, Castelvecchio, Erli, Castelbianco, Onzo, Testico, Stellanello, Casanova Lerrone, Garlenda, Villanova d'Albenga, Vendone, Zuccarello, Nasino). Tratto da: http://www.b2b24.ilsole24ore.com/articoli/0,1254,24_ART_8960_cms 11 OTTOBRE 2011 - Martedì Ore 17.50 - IMPERIA TV PASSATA REGOLARMENTE AL DTT ANCHE A SANREMO. Anche Imperia Tv è approdata sul digitale terrestre che, tra ieri e oggi, ha già interessato le zone di Ventimiglia e Sanremo. La storica emittente del ponente ligure, che proprio nel 2011 festeggia i suoi 25 anni, prosegue l'attività dedicata all'informazione locale, approfondimento ed intrattenimento. Con la sintonizzazione automatica del decoder, Imperia Tv appare sul canale 16 del telecomando. La frequenza assegnatale dal ministero, che interessa solo gli antennisti e non gli utenti, è quella del canale 34. Un risultato importante che premia gli sforzi dell’editore Francesco Zunino che, da solo, ha saputo superare anche quello che poteva essere un grande ostacolo. Tra le trasmissioni di approfondimento di Imperia Tv ci sono “A tutto ponente”, condotta da Federico Marchi il mercoledì sera alle 21, e “Microfono aperto”, di Andrea Pomati in onda sempre in prima serata il venerdì. A breve, proprio con l'avvento del digitale terrestre, saranno ideati e realizzati nuovi format dedicati all'approfondimento e al territorio. Tratto da: http://www.sanremonews.it/2011/10/11/leggi-notizia/argomenti/altre-notizie/articolo/imperia-tv-ha-regolarmente-acceso-i-propri-canali-in-digitale-terrestre-anche-a-sanremo 08 OTTOBRE 2011 - Sabato Ore 12.20 - DIGITAL-FORUM: OTG TV PUBBLICA LE LCN DELLA LIGURIA. Otgtv ha inserito su Digital Forum, un post con le LCN dal 10 al 19 che saranno assegnate alle emittenti locali in Liguria. Autorizzazioni LCN Liguria: 10 PRIMOCANALE 11 TELEGENOVA 12 TELECITY 13 TELENORD 14 15 TELEPACE 16 17 ENTELLA TV 18 TELELIGURIA 19 TLS TELELIGURIASUD SuL 14 e 16 dovrebbero esserci Primocanale Sport (Telecittà) o Telestar Liguria. 07 OTTOBRE 2011 - Venerdì Ore 07.45 - MASTERPLAN: ECCO LE TV CHE SI VEDRANNO A SANREMO DA MARTEDI'. Abbiamo ipotizzato una probabile situazione, in base ai documenti del masterplan, delle frequenze che potrebbero essere attivate da martedì 11 ottobre a Sanremo (Imperia). Questa lista è stata realizzata ordinando per frequenza i multiplex in base alle postazioni che servono quest'area. Consulta le TV A SANREMO. Ore 07.25 - MASTERPLAN: ECCO LE TV CHE SI VEDRANNO A VENTIMIGLIA DA LUNEDI'. Abbiamo ipotizzato una probabile situazione, in base ai documenti del masterplan, delle frequenze che potrebbero essere attivate da lunedì 10 ottobre a Ventimiglia (Imperia), ultima città del ponente ligure al confine con la Francia che insieme a Bordighera, Camporosso, Ospedaletti, Vallebona e Vallecrosia, daranno inizio allo switch off ligure. Questa lista è stata realizzata ordinando per frequenza i multiplex in base alle postazioni che servono quest'area. Consulta le TV A VENTIMIGLIA. 06 OTTOBRE 2011 - Giovedì Ore 14.30 - I MUX LIGURI ORDINATI PER PROVINCIA, FREQUENZA E PROVIDER. Dopo
aver pubblicato sulle nostre pagine il documento postato sulle pagine
di digital-forum da Otg tv dell'omonimo sito, abbiamo provveduto ad
analizzarlo e lo abbiamo ordinato in vari modi:
LISTA PROVINCIA IMPERIA ORDINATA PER FREQUENZAper provincia, per frequenza (VHF - UHF) e in ordine alfabetico del nome provider (multipilex). In vista dello switch off in questa regione, le pagine di LIGURIA IN DIGITALE, ieri hanno avuto un'impennata di visite, superando per contatti le pagine di Piemonte-Lombardia e Roma. Vi ringraziamo inoltre per i continui apprezzamenti e suggerimenti che riceviamo quotidianamente. Consulta le seguenti liste: LISTA PROVINCIA GENOVA ORDINATA PER FREQUENZA LISTA PROVINCIA GENOVA ORDINATA PER MULTIPLEX LISTA PROVINCIA IMPERIA ORDINATA PER MULTIPLEX LISTA PROVINCIA LA SPEZIA ORDINATA PER FREQUENZA LISTA PROVINCIA LA SPEZIA ORDINATA PER MULTIPLEX LISTA PROVINCIA SAVONA ORDINATA PER FREQUENZA LISTA PROVINCIA SAVONA ORDINATA PER MULTIPLEX 05 OTTOBRE 2011 - Mercoledì Ore 17.35 - LA GRADUATORIA E LE FREQUENZE ASSEGNATE IN LIGURIA CON IL PUNTO DI VISTA DI MILLECANALI. Dalla Liguria (che inizierà lo switch off lunedì prossimo) in poi ci sarà una graduatoria delle Tv per l’assegnazione dei canali (o meno) quali ‘operatori di rete’. Ecco cosa è successo a Genova e in regione... Lunedì sera, verso le 19.30, sono cominciati gli invii dei decreti di assegnazione delle frequenze per lo switch off ligure. Un passo che viene subito dopo il licenziamento della graduatoria definitiva tra i 21 soggetti (emittenti singole, altre riunite sotto intese o consorzi). Da notare che la graduatoria del Ministero dello Sviluppo Economico contiene un errore: nella posizione 16, all'intesa tra Stv, Varazze Tv, OttoToscana è stata eliminata per dimenticanza Telesanremo. Nulla cambia, con l'assegnazione anche all'emittente del canale assegnato, il 22. A livello regionale vince, quindi, Telecity davanti alla extraregionale Canale Italia, a sua volta davanti a Primocanale. Alla fine l'unica esclusa, un po' a sorpresa, è la fiorentina Italia 7: ha partecipato da sola, con un unico impianto acceso sopra alla Spezia e ora dovrà ricorrere al must carrier. Per le singole voci, per il patrimonio ha vinto l'intesa tra le due Canale Italia, davanti a Telecity: dietro di loro una voragine di punti. Come dipendenti il primo posto è nettamente di Primocanale, mentre per la copertura ha vinto Telenord, ma con parametri 'altri' troviamo anche Telecity, Primocanale, Telegenova e la giovanissima Liguria Tv. Tutti contenti? Lo scopriremo solo da lunedì prossimo quando le operazioni cominceranno. E le interferenze con la vicina Francia diventeranno realtà. Nel frattempo ci sono pervenuti i commenti delle due associazioni principali del settore. Ecco cosa ci ha inviato la Frt Tv Locali: «L'Associazione Tv Locali FRT esprime soddisfazione per il risultato della graduatoria, pubblicata sul sito del Ministero dello sviluppo economico, relativa all'assegnazione delle frequenze alle tv locali operanti nella regione Liguria, che vede ben 9 emittenti associate nelle prime 10 posizioni e 14 nelle prime 18 posizioni. Al primo posto si è classificata l'emittente Telecity, di proprietà vicepresidente della FRT, Giorgio Tacchino. Ciò è significativo e conferma che le Tv locali associate alla FRT sono le più importanti sotto il profilo imprenditoriale ed editoriale. Tuttavia, le preoccupazioni manifestate nei giorni scorsi dalla Federazione relativamente al rischio di stravolgimento delle posizioni in graduatoria, a causa dell'uso improprio delle intese tra emittenti minori, permangono, soprattutto in alcune regioni che presentano problematiche di natura frequenziale quali la Toscana, per le quali si auspica che il Ministero sappia trovare le giuste soluzioni per garantire la sopravvivenza delle emittenti regionali e provinciali più importanti». Ed eccoci ad Aeranti-Corallo: «Con riferimento alla problematica della transizione alle trasmissioni televisive digitali terrestri nelle Regioni Liguria, Toscana, Umbria, Marche e nella provincia di Viterbo, l'Avv. Marco Rossignoli, coordinatore Aeranti-Corallo ha dichiarato: “Abbiamo constatato, con soddisfazione, che tutte le 14 Tv locali associate Aeranti-Corallo, operanti in Liguria, potranno svolgere, a pieno titolo, l'attività di operatore di rete per la Tv digitale terrestre in ambito locale, con l'assegnazione delle relative frequenze di trasmissione. Siamo, inoltre, in attesa della pubblicazione delle graduatorie relative alla Toscana e all'Umbria. La Toscana, in particolare, rappresenta il primo vero banco di prova delle nuove procedure per l'assegnazione delle frequenze per le Tv locali. Infatti in Toscana opera un numero di Tv locali molto superiore alle frequenze disponibili e quindi le graduatorie di tale regione consentiranno di comprendere, in concreto, quale impatto abbiano le norme del bando di gara, in termini di quantità di imprese che potranno svolgere l'attività di operatore di rete”. In ogni caso Aeranti-Corallo ritiene indispensabile un differimento degli switch-off calendarizzati nel corso del 2011 e, pertanto, ha formulato una richiesta in tal senso al Ministro Romani. È infatti evidente che occorre garantire alle Tv locali i tempi tecnici necessari per poter ricevere le forniture degli impianti per trasmettere in digitale, tenendo conto che non è certamente possibile operare gli acquisti prima di aver ottenuto l'assegnazione frequenziale; diversamente si rischierebbe di effettuare investimenti al buio. Occorre altresì considerare che ai fini della transizione, il Ministero deve rispettare il termine (previsto dalla delibera Agcom n. 366/10/CONS) di 15 giorni prima dello switch-off per l'attribuzione delle numerazioni LCN e il termine (previsto dalla delibera Agcom n.353/11/CONS) di 50 giorni prima dello switch off per la definizione degli obblighi di must carrier a favore dei soggetti non utilmente collocati nelle graduatorie». Ecco la tabella della graduatoria della Liguria e le frequenze assegnate: 1) C. 24 Telecity Liguria 2) C. 39 Canale Italia - Canale Italia 2 3) C. 44 Primocanale 4) C. 43 Telenord 5) C. 29 Telegenova - Lombardia Digitale 6) C. 41 Telecittà 7) C. 21 Liguria Tv 8) C. 51 Telestar Liguria 9) C. 53 Teleliguria - Tlc Telecampione 10) C. 35 Italia 8 - Tv9 11) C. 34 Imperia Tv - Antenna Blu Tv - Teleriviera 12) C. 31 Teleradiopace - Tele Liguria Sud - Telemasone - Teleradiopace 2 13) C. 45 Studio Nord Tv - Telemondo 14) C. 48 Entella Tv - Rtv 38 - Teleturchino 15) C. 27 Telecupole (solo SV IM) 16) C. 22 Stv - Tv Varazze - OttoToscana - Telesanremo 17) C. 28 Primantenna - Motori Tv 18) C. 25 Rete 37 19) C. 27 Tv Italia (solo GE SP) C. 22 (solo IM SV) 20) C.25 E21 Network - Odeon 24 - E21 Lombardia - Telegranda (solo GE IM SV) c. 28 (solo SP) 21) esclusa Italia 7 Tratto da: http://www.millecanali.it/ed-ecco-la-graduatoria-della-liguria Ore 10.20 - ASSEGNATE LE FREQUENZE ALLE TV IN LIGURIA. Otg TV dell'omonimo sito ha pubblicato nei giorni scorsi su digital-forum le frequenze che dovrebbero essere assegnate alle emittenti in Liguria dal prossimo lunedì, data di inizio dello switch off. Potete visualizzare il documento in questo link: http://www.otgtv.it/TRANSFER/liguriaprova.pdf 04 OTTOBRE 2011 - Martedì Ore 21.10 - TV DIGITALE: FRT, SODDISFAZIONE PER GRADUATORIA LIGURIA. Ansa.it - ROMA - L'Associazione Tv Locali FRT "esprime soddisfazione per il risultato della graduatoria, pubblicata sul sito del ministero dello Sviluppo economico, relativa all'assegnazione delle frequenze alle tv locali operanti nella regione Liguria, che vede ben 9 emittenti associate nelle prime 10 posizioni e 14 nelle prime 18 posizioni". "Al primo posto - prosegue la nota - si e' classificata l'emittente Telecity, di proprieta' vicepresidente della FRT, Giorgio Tacchino. Cio' e' significativo e conferma che le tv locali associate alla FRT sono le piu' importanti sotto il profilo imprenditoriale ed editoriale". "Tuttavia - si legge ancora -, le preoccupazioni manifestate nei giorni scorsi dalla Federazione relativamente al rischio di stravolgimento delle posizioni in graduatoria, a causa dell'uso improprio delle intese tra emittenti minori, permangono, soprattutto in alcune regioni che presentano problematiche di natura frequenziale quali la Toscana, per le quali si auspica che il ministero sappia trovare le giuste soluzioni per garantire la sopravvivenza delle emittenti regionali e provinciali piu' importanti". Ore 11.00 - FREQUENZA E DIGITALE: TELE LIGURIA SUD E' SALVA. Tele Liguria Sud, nata nel 1977 dalla mente di Don Dino Viviani, ha ottenuto l'assegnazione della frequenza per il digitale terrestre. Il canale di trasmissione non cambia da oggi ma dal mese di novembre. Solo nei prossimi giorni si saprà con precisione quale numero del telecomando bisognerà premere per vedere il canale. Tratto da: http://www.cittadellaspezia.com/mobile/articolo.aspx?id=94469 Ore 10.55 - I SINDACI LANCIANO L'ALLARME: "NIENTE SOLDI PER GLI IMPIANTI". Cambiare costa. E molti comuni, alle prese con la crisi, non hanno i soldi per realizzare l'operazione. Per i privati non resta che la parabola. "Il 20 ottobre qui a Rezzoaglio resteremo al buio, non vedremo più alcunché". L'allarme parte da Roberto Fontana, primo cittadino del comune della Val d'Aveto dove cinquecento persone per vedere la televisione dovranno utilizzare la parabola. Niente digitale terrestre e niente emittenti locali per loro, obbligati a seguire sul video solo i grandi network nazionali. Il sindaco chiede così un aiuto economico alla Regione Liguria: "Servono trentamila euro per rinnovare l'impianto. Una cifra che, in un momento di tagli e di crisi economica, il Comune da solo non può assolutamente sostenere". La situazione di Rezzoaglio non è l'unica. Sono molte le località liguri dell'entroterra che, nonostante le innovazioni tecnologiche della tv digitale, se utilizzassero soltanto un semplice decoder al momento dello "switch off" non vedrebbero più immagini sul piccolo schermo. Il motivo? In Liguria gli impianti di trasmissione sono 2.968, di cui 257 di proprietà di comuni o di ex Comunità montane (passate sotto la giurisdizione dell'unione dei comuni). Proprio in queste zone la situazione è più critica. Per convertire gli impianti già esistenti al digitale servirebbero dai tre ai sette mila euro, mentre, per realizzarli ex novo, si parla di cifre che oscillano intorno ai trentamila euro; una somma che dovrebbe essere sborsata o dalle emittenti che hanno convenienza a far funzionare gli impianti in quelle zone (ad oggi nessuna) o dagli enti locali, che dopo tutti i tagli del governo, non hanno risorse disponibili da investire. "La tecnologia si paga. Una volta sarebbero bastati 500 euro, mentre oggi con meno di tre milaeuro nulla si fa" ricorda Mario Mura, ispettore per la Liguria del Ministero dello Sviluppo Economico. Renzo Guccinelli, assessore per lo Sviluppo Economico fa sapere: "La Regione aiuterà con un contributo solo le nuove unioni comunali che decideranno di riattivare gli impianti già appartenenti alle Comunità montane. Per gli altri non è previsto alcun tipo di stanziamento né dalla Regione, né dal Ministero". Risultato? Migliaia di persone saranno costrette a utilizzare la televisione satellitare per poter vedere anche i canali Rai e Mediaset. Spesa prevista almeno 200 euro: 150 per l'installazione di una parabola e 50 per il decoder sat. Un prezzo ben più salato rispetto ai 20-30 euro necessari per acquistare un semplice decoder, con la beffa di aver pagato il canone Rai e non poter vedere i programmi. "Ho provato a scrivere e a mettermi in contatto con la Rai già mesi fa ma nessuno mi ha risposto o mi ha dato qualche indicazione - ricorda il sindaco di Rezzoaglio - Credo sia molto grave che i miei cittadini pur pagando il canone non abbiano un servizio garantito". I due colossi della televisione italiana, intanto hanno già provveduto ad adeguarsi alle nuove tecnologie. La Rai ha riconvertito tutti i suoi impianti mentre Mediaset, pur avendone diminuito il numero, ha ottimizzato la rete. Il problema per le zone più decentrate però resta. "La Regione non è responsabile del passaggio al digitale - ribadisce Lucia Pasetti, referente per la Regione Liguria - Abbiamo fatto quello che potevano: supportato le televisioni locali per diminuire al massimo le criticità e semplificato l'iter burocratico per le autorizzazioni. Più di questo è impossibile". A pochi giorni dall'avvio della televisione digitale sono ancora tanti, dunque, i problemi da risolvere. Ai telespettatori non resta che attendere il 10 ottobre e verificare cosa succederà. A proprie spese. Tratto da: http://genova.repubblica.it/cronaca/2011/10/04/news/i_sindaci_lanciano_l_allarme_niente_soldi_per_gli_impianti 29 SETTEMBRE 2011 - Giovedì Ore 17.05 - INSERITO IL CALENDARIO CON I COMUNI CHE PASSANO AL DTT IN LIGURIA. Nella pagina de L'ITALIA IN DIGITALE dedicata alla LIGURIA, abbiamo inserito l'elenco dei comuni che passeranno alla tv digitale dal prossimo 10 ottobre. Il documento è tratto dal sito della Fondazione Ugo Bordoni. Come è noto si inizia da Ponente con Bordighera, Vallecrosia, Ventimiglia, Camporosso, Ospedaletti e Vallebona, per continuare il giorno successivo con Sanremo, Dolceacqua e via di seguito. 26 SETTEMBRE 2011 - Lunedì Ore 18.15 - POCHI GIORNI ALLO SWITCH OFF IN LIGURIA: INFORMAZIONI VIA WEB DALLA REGIONE. In occasione del passaggio al digitale terrestre della Liguria, previsto a partire dal 10 ottobre prossimo, la Regione Liguria, su iniziativa dell’assessore allo Sviluppo Economico Renzo Guccinelli, ha messo su Internet il nuovo sito web www.digitaleterrestre.regione.liguria.it. Il sito, in rete da oggi, è stato realizzato per dare supporto alle attività del Ministero dello Sviluppo Economico sul territorio e fornire ogni utile indicazione sullo switch-off ai cittadini, agli enti locali e a tutti i soggetti coinvolti. Navigando sul sito si possono trovare tutte le informazioni su come attrezzarsi per il passaggio dall’analogico al digitale. Sono inoltre forniti consigli e suggerimenti, risposte ai quesiti più frequenti, numeri utili e link di approfondimento e di informativa specialistica. Nel sito, la Regione Liguria informa anche su tutte le iniziative che, pur non avendo competenze dirette, per accompagnare nel modo più efficace il passaggio al digitale. www.digitaleterrestre.regione.liguria.it verrà aggiornato costantemente per seguire il passaggio che dal 10 ottobre al 4 novembre interesserà tutto il territorio regionale. Il sito indica le date e dei luoghi dove si terranno presidi informativi per la cittadinanza e corsi di formazione per i volontari aderenti al progetto 'volontario digitale'. Tratto da: http://www.sanremonews.it/2011/09/26/leggi-notizia/argomenti/altre-notizie/articolo/pochi-giorni-allo-switch-off-in-liguria-la-regione-ha-predisposto-le-informazioni-via-web Ore 18.05 - VUOI VEDERE IL DTT? DOMANI L'INSERTO DEL SECOLO XIX. Genova - Mancano pochi giorni al cosiddetto “switch-off”, la “rivoluzione” del digitale terrestre: a partire dal 10 ottobre, anche in Liguria il segnale analogico che ci ha permesso sin qui di vedere la televisione lascerà il posto al digitale terrestre e senza un apparecchio televisivo o un decoder appropriati, non vedremo più nulla. Che cosa dobbiamo fare? Quanto dobbiamo spendere? Quale decoder è meglio comprare? A chi dobbiamo rivolgerci se non riusciamo a ricevere il segnale? Per rispondere a queste e molte altre domande, domani, martedì 27 settembre, Il Secolo XIX darà in omaggio a tutti i lettori un inserto di 16 pagine che fornisce tutte le istruzioni per affrontare l’avvento della nuova tecnologia senza perdere tempo e senza spese eccessive. Un “manuale” alla portata di tutti, pieno di consigli utili e di esempi concreti, con all’interno anche una guida per orientarsi nell’offerta di decoder, dal modello base al più caro. Ecco qualche esempio delle domande più frequenti: che cosa devo fare se non vedo i canali del digitale terrestre? Come illuminare le zone d’ombra? Come faccio a risintonizzare i canali dopo lo “switch-off”? Se non sono capace di risintonizzare i canali, devo per forza chiamare l’antennista? Esiste un contributo pubblico per l’acquisto dei decoder? Nelle altre Regioni d’Italia già passate al digitale, ci sono stati problemi? Qual è il ruolo di Regioni e Comuni? Quanto costa il digitale terrestre? A quanti televisori posso collegare il decoder? La mia antenna è già stata predisposta per il digitale terrestre tre anni fa: avrò problemi? Per sapere le risposte, non c’è che da comprare Il Secolo XIX del 27 settembre, con l’inserto gratuito sul digitale terrestre. Tratto da: http://www.ilsecoloxix.it/p/genova/2011/09/26/AOb2rr7-terrestre_inserto_digitale.shtml 20 SETTEMBRE 2011 - Martedì Ore 15.45 - VENTIMIGLIA PASSAGGIO AL DTT IN MIGLIAIA ANCORA SENZA DECODER. A BREVE ASSEMBLEA CON GLI ANTENNISTI. Mancano ormai poco più di due settimane di tempo allo switch off, che porterà al passaggio dall’analogico al digitale terrestre. E anche a ponente, la città di Ventimiglia si sta preparando a questa operazione. “Lo stiamo vivendo ovviamente come una innovazione ed un miglioramento importante, ma al contempo con una certa apprensione per la scarsa informazione che si è fatta, soprattutto dal governo centrale”, ha dichiarato Scullino. Sono ancora migliaia le persone che non si sono ancora attrezzate con decoder o televisione di nuova generazione, che potrebbero ritrovarsi, dal 10 ottobre in avanti, senza ricevere più il segnale. In questi giorni intanto è in calendario una assemblea con gli antennisti di Ventimiglia, nella quale il Comune dovrebbe dare le linee guida. Si dovrebbe discutere anche del prezzario per tutte le persone che avranno bisogno di interventi per la ricezione del segnale. Lo Switch-off in Provincia di Imperia dovrebbe avvenire dal 10 al 13 ottobre. Ecco più nel dettaglio alcune città: Ventimiglia (10/10), Sanremo (11/10), Imperia (12/10). Tratto da: http://www.sanremonews.it/2011/09/20/leggi-notizia/argomenti/altre-notizie/articolo/ventimiglia-passaggio-digitale-terrestre-in-migliaia-ancora-senza-decoder-a-breve-assemblea 16 SETTEMBRE 2011 - Venerdì Ore 23.45 - BANDO ASSEGNAZIONE FREQUENZE TV LOCALI LIGURIA: I DETTAGLI DA OTGTV SU DIGITAL-FORUM. Riportiamo un post inserito nelle scorse ore su digital- forum da OTGTV, in merito alla prima parte del bando di assegnazione delle frequenze per la regione Liguria. Entro oggi, infatti, andava consegnato il malloppo cartaceo che costituisce (insieme alla parte online) la documentazione per stilare la graduatoria tra le emittenti locali. Alle notizie in mio possesso sarebbero 38 le emittenti coinvolte a vario titolo. 11 hanno partecipato a titolo personale, 20 tramite delle "intese" e 6 con dei "consorzi". La differenza sta che il consorzio prevede la nascita di una nuova società che fungerà da operatore di rete unico per tutta la regione e per tutte le emittenti; l'intesa è poco più di una scrittura privata (per ora) con cui varie tv decidono di concorrere per la stessa frequenza, rimanendo operatori di rete nella propria area di servizio. Area che, giova ricordarlo, non può assolutamente essere sovrapponibile neanche in un misero pixel con quello delle altre coinvolte nell'intesa. Partecipano da sole (salvo errori e omissioni): Italia 7 Toscana Liguria Tv Primocanale Rete 37 Telecittà Telecity Liguria Telecupole Piemonte Telegenova Telenord Telestar Liguria Tv Italia Partecipano a consorzi (salvo errori e omissioni): Editrice 21 Network e Telegranda Motori Tv e Primantenna Studio Nord Tv e Telemondo Partecipano a intese (salvo errori e omissioni): Antenna Blu Tv, Imperia Tv e Teleriviera Canale Italia e Canale Italia 2 Entella Tv, Rtv 38 e Teleturchino Italia 8 e Tv9 OttoToscana, Stv, Telesanremo e Tv Varazze Tele Liguria Sud, Telemasone, Teleradiopace e Teleradiopace 2 Teleliguria e Tlc Telecampione Ha scelto di non partecipare l'emittente Videotaro che aveva un impianto sul monte Maggiorasca (Santo Stefano d'Aveto - GE) che però copre solo una parte della provincia di Parma. L'impianto è stato quindi eliminato. Tratto da: http://www.digital-forum.it/showthread.php?t=130854 Ore 10.35 - ECCO COME PREPARARSI ALL'ARRIVO DEL DIGITALE, O TRA UN MESE ADDIO TV. ... Che tra il 10 ottobre e il 4 novembre cambierà la storia dell’etere in tutta la regione. Più che di tante lettere e delle solite sparate, ci sarebbe bisogno di un po’ più di chiarezza, soprattutto in una Liguria che, più che il problema dei monti, in questo caso ha il problema di un’età media di abitanti molto alta, che rende ancor più incomprensibile un linguaggio di per sé già riservato ai tecnici. «Esiste il rischio che molte persone male informate, o con poca dimestichezza con le nuove tecnologie, si ritrovino tagliate fuori dai segnali radiotelevisivi - attacca il capogruppo della Lega Nord in Regione, Edoardo Rixi - Burlando e la sua giunta non hanno finora sufficientemente diffuso la notizia che entro il 4 novembre la Liguria passerà al digitale terrestre. Non mi risulta che la Regione si sia adoperata per informare i liguri mediante un’adeguata campagna informativa. Come se non bastasse, vari sindaci dell’entroterra hanno paventato il rischio che il nuovo segnale digitale terrestre abbia una copertura territoriale inferiore a quella del vecchio segnale analogico. Se ciò fosse vero, significherebbe che gran parte del nostro entroterra resterebbe semplicemente tagliato fuori». Continua a leggere qui: http://www.ilgiornale.it/genova/ecco_come_prepararsi_allarrivo_digitale_o_mese_addio_tv 15 SETTEMBRE 2011 - Giovedì Ore 21.30 - LA MAGGIOR PARTE DEI LIGURI USA GIA' IL DIGITALE TERRESTRE. Mentre qualcuno cerca di spiegare quanto sarebbe “traumatico” il passaggio al digitale terrestre in Liguria, invocando azioni per far slittare lo switch off, i dati delineano una situazione di fatto ben diversa. I più recenti dati Auditel, infatti, mostrano come la maggior parte dei liguri già sia sintonizzato sulla tv digitale, ad un mese dallo spegnimento del segnale analogico. Nelle rilevazioni ed elaborazioni di Nielsen Tv Audience Measurement Italy, emerge che nel mese di luglio 2011 in Liguria l’ascolto medio giornaliero è stato di 241.571 utenti. In vista del passaggio fissato al 10 ottobre, con termine ultimo a novembre, il dato interessante riguarda la spartizione percentuale tra le piattaforme, ovvero analogico tradizionale, satellitare e digitale terrestre. Qui sta la sorpresa: il digitale terrestre è già la piattaforma più utilizzata dagli spettatori liguri, con uno share del 47%, ampiamente sopra gli utenti della vecchia tv analogica che si ferma al 35% e della parabola che registra un 17%. Continua a leggere qui: http://www.ivg.it/2011/09/televisione-la-maggior-dei-liguri-gia-usa-il-digitale-terrestre Ore 21.25 - DTT, RIXI (LEGA): IN LIGURIA LE FAMIGLIE OSCURATE NON PAGHINO IL CANONE RAI. Ancora deve arrivare e già monta la polemica. Parliamo del digitale terrestre, che all'inizio di novembre spazzerà via la "vecchia televisione" (e in alcuni casi anche i vecchi televisori), con il rischio che in molte zone non si riceva alcun segnale tv. Dopo l'allarme lanciato ieri dal presidente della Regione Liguria Claudio Burlando, ora è il turno dell'opposizione. Edoardo Rixi, Capogruppo della Lega Nord in Regione Liguria, ha preparato un’interrogazione in Consiglio Regionale riguardo all’imminente passaggio al digitale terrestre delle reti televisive liguri. “Non si capisce - dice l'esponente leghista - perché la Giunta non abbia finora sufficientemente diffuso la notizia che entro il 4 novembre 2011 la Liguria passerà al digitale terrestre. Continua a leggere qui: http://www.genovaogginotizie.it/cronaca/2011/9/15/news-37251/digitale-terrestre-rixi-lega-le-famiglie-oscurate E qui: http://www.savonanews.it/2011/09/15/leggi-notizia/argomenti/politica-2/articolo/digitale-terrestre-rixi-la-regione-non-pubblicizza-il-passaggio-e-non-garantisce-la-copertura-tele Ore 17.45 - IL CALENDARIO UFFICIALE DELLO SWITCH OFF IN TOSCANA, UMBRIA, LIGURIA E PROV. DI VITERBO. Dal sito Decoder Comunicazioni ecco le date ufficiali dello switch off nei comuni di Toscana, Umbria, Liguria e provincia di Viterbo. La lista è divisa per località. Consulta il CALENDARIO DEL PASSAGGIO AL DIGITALE TERRESTRE NEI COMUNI DELLA TOSCANA, UMBRIA, LIGURIA E PROV. DI VITERBO 13 SETTEMBRE 2011 - Martedì Ore 10.30 - SAVONA: SELVA DI ANTENNE, SCOPPIA IL CASO. Savona - Sono necessarie per vedere Sky e tutti i nuovi canali satellitari, e saranno fondamentali tra pochi giorni in quei paesini dell’entroterra dove il segnale del digitale terrestre non arriva o arriva male, ma di certo la selva di antenne paraboliche che proliferano su tutti i tetti e sempre più spesso le facciate dei palazzi non è un bello spettacolo alla vista né un segno di decoro architettonico. L’ultimo caso esploso è quello della darsena, con diverse “padellone” rimaste a rovinare la vista porto dalla nuova piazza del complesso Crescent retaggio di un passato duro a morire. Ieri alcuni cittadini hanno scritto una mail al Secolo XIX per denunciare lo scempio e chiedere spiegazioni. «È mai possibile che in una piazza nuova di zecca, nuova vetrina della città, resistano orrori simili?» è la denuncia. Continua e leggere qui: http://www.ilsecoloxix.it/p/savona/2011/09/13/AOH8Hl3-selva_scoppia_antenne 19 AGOSTO 2011 - Venerdì Ore 23.50 - LA SPEZIA NON VUOLE PERDERE TELELIGURIA SUD. Anche il presidente della Provincia Marino Fiasella si pronuncia in difesa dell’ emittente Teleliguriasud che, a causa della redistribuzione delle frequenze televisive sul digitale terrestre, rischia di chiudere i battenti. Continua a leggere qui: http://www.cittadellaspezia.com/mobile/articolo.aspx?id=91490 17 AGOSTO 2011 - Mercoledì Ore 19.20 - LIGURIA, CONTO ALLA ROVESCIA PER IL DIGITALE TERRESTRE. 35 giorni di tempo per chiedere al Ministero dello Sviluppo la numerazione per il proprio canale digitale terrestre. E' ufficialmente partita la "gara" tra le emittenti TV della Liguria (Primocanale, TeleGenova, TeleNord, TeleCity, etc) per ottenere l'assegnazione del "numero" più basso nel telecomando digitale. Una vera e propria battaglia che potrebbe determinare il successo di una emittente in barba ai più elementari criteri di classificazione in termini di "qualità", gli unici che, ci si aspetterebbe, dovrebbero determinare la scelta degli Utenti. Nel corso dell'autunno 2011 (ma in molti mormorano di un possibile slittamento) anche la Liguria vedrà scomparire i canali televisivi attualmente trasmessi "in analogico". Continua a leggere qui: http://www.genovaogginotizie.it/cronaca/2011/8/17/news-33215/editoria-35-giorni-per-la-numerazione-digitale Ore 19.05 - INSERITI I COUNTDOWN DEGLI SWITCH OFF. Quanto manca all'inizio dello switch off in Liguria, Toscana, Marche, Umbria e in provincia di Viterbo? Abbiamo inserito un countdown nelle pagine delle relative regioni che diventeranno nei prossimi mesi aree all digital, il conteggio segna i giorni che mancano all'avvio dei lavori nelle relative aree. 16 AGOSTO 2011 - Martedì Ore 12.40 - TV DIGITALE: REGIONE LIGURIA BOCCIA PIANO NAZIONALE FREQUENZE. ANSA.it - GENOVA - La Regione Liguria boccia il piano frequenze nazionale in vista del passaggio al digitale terrestre previsto in autunno. "Il governo deve assolutamente rimediare al pasticcio che ha prodotto con le procedure di assegnazione delle frequenze televisive per il digitale terrestre", affermano in una nota congiunta gli assessori regionali allo Sviluppo Economico, Trasporti e Infrastrutture Renzo Guccinelli, Enrico Vesco e Raffaella Paita."Garantendo solo Mediaset e Rai - spiegano - si rischia di cancellare decenni di pluralismo e informazione locale che rappresentano un enorme patrimonio di identita' e cultura in tutto il Paese. La Liguria poi risulta penalizzata per altre due ragioni specifiche: la situazione orografica, che richiede ingenti investimenti per coprire un territorio parcellizzato e difficile, e il possibile rischio di interferenze con i segnali digitali provenienti da Corsica e Francia a causa di una mancata intesa preventiva sulle frequenze". Secondo la Regione Liguria, occorre una forte mobilitazione in difesa del patrimonio informativo ligure "con una attenzione particolare anche alle televisioni comunitarie che, per le loro precise caratteristiche, peraltro previste dalla legge, oggi rischiamo di essere ingiustamente penalizzate a causa di criteri assolutamente iniqui". 08 AGOSTO 2011 - Lunedì Ore 12.25 - AGCOM PUBBLICA IL PIANO DELLE FREQUENZE PER LA LIGURIA, TOSCANA, UMBRIA, MARCHE E PROVINCIA DI VITERBO. L'Agcom ha reso noto il piano di assegnazione delle frequenze per il servizio televisivo digitale terrestre delle regioni Liguria, Toscana, Umbria e Marche e della provincia di Viterbo, (aree tecniche n.8, 9 e 10). Le frequenze che andranno alle tv locali sono 18 per la Liguria, 18 per la Toscana, 18 per l’Umbria, 17 per le Marche e 18 per la provincia di Viterbo. In Liguria e Toscana alcune frequenze non sono attivabili in quanto sono state assegnate alla vicina Francia. Sono state pubblicate anche le frequenze in Uhf assegnate al mux 1 della Rai, diverse per ogni regione, e sono: LIGURIA - Canale 46 TOSCANA - Canale 27 MARCHE – Canale 32 UMBRIA – Canale 29 PROVINCIA DI VITERBO – Canale 28 Per i dettagli leggere i seguenti documenti Agcom: DELIBERA N.423/11/CONS Allegato 1 alla delibera n. 423/11/CONS Allegato 2 alla delibera n. 423/11/CONS Allegato 1 alla relazione tecnica Allegato 2 alla relazione tecnica Il documento integra DELIBERA N. 330/11/CONS 07 AGOSTO 2011 - Domenica Ore 21.35 - LIGURIA DI PONENTE: IL PASSAGGIO IN DIGITALE E IL DISAGIO DELLA COMUNITA' MONTANA. 'Dalla metà di Ottobre nelle case dell’alta Valle Argentina non sarà più possibile vedere i canali televisivi della RAI. E’ necessario agire subito e fare qualcosa per non aggiungere un ulteriore disagio alla gente che vive in montagna” Lo denuncia Marco Franchello, responsabile del settore ambiente del Circolo di Futuro e Libertà per l’Italia di Badalucco e Taggia. Sarebbe la conseguenza immediata del cosiddetto switch off, ovvero del passaggio al digitale terrestre del territorio della provincia di Imperia. “In sostanza dal 16 ottobre comincerà la commutazione del segnale televisivo. Entro Natale tutta la Liguria di ponente sarà digitalizzata – spiega Franchello – ciò significa che il segnale trasmesso dalle antenne televisive per essere ricevuto dal televisore avrà bisogno di un decoder, che sul mercato viene a costare dai trenta ai cento euro, se l’apparecchio televisivo è ancora di vecchia generazione. Ma questo non sarà sufficiente nelle case dell’alta Valle Argentina: Molini di Triora e Triora perché la RAI in queste aree non ha intenzione di sostituire i vecchi ripetitori che tra l’altro non erano di sua proprietà. E il rischio lo corre anche Badalucco, dove la situazione è analoga, ma si spera che essendo la popolazione molto più elevata la RAI provveda ad adeguare i suoi ponti”. Continua a leggere qui: http://www.riviera24.it/articoli/2011/08/07/115509/dopo-lo-switch-off-niente-segnale-rai-in-valle-argentina 05 AGOSTO 2011 - Venerdì Ore 19.30 - LIGURIA DI PONENTE, IL CASO DEGLI IMPIANTI DELLE COMUNITA' MONTANE. Lo scorso 19 luglio ad Imperia, il Ministero dello Sviluppo Economico ha convocato un tavolo tecnico a cui hanno partecipano Regione Liguria e altri soggetti coinvolti, per comunicare le date ufficiali dello switch off e offrire tutte le informazioni utili per avviare, per le rispettive competenze e le attività legate al passaggio al digitale. La Task Force sarà il principale soggetto di riferimento per il passaggio del territorio ligure alla nuova tecnologia. In provincia di Imperia, ci sono circa 50 impianti TV di proprietà degli Enti Locali. Alleghiamo questa relazione che tra le altre cose, fa il punto su alcuni impianti di Ventimiglia. Estratto della riunione tenutasi a Imperia in data 19luglio 04 AGOSTO 2011 - Giovedì Ore 15.05 - PORTOFINO, VIA UNA DELLE ANTENNE RAI. Una delle due grandi antenne della Rai che da decenni sorgono sul monte di Portofino sarà smantellata entro breve in base a un progetto messo a punto per ridurre l'impatto negativo dell'impianto sul paesaggio. Lo ha stabilito la Regione approvando oggi in Consiglio due varianti al Piano del Parco di Portofino del 2002 e al Regolamento edilizio del 2007 che danno tra l'altro il via libera a un progetto di modifica dell'Hotel Cenobio dei Dogi di Camogli.L'assemblea ha approvato all'unanimità i documenti con l' astensione della Lega Nord. Continua a leggere qui: http://genova.repubblica.it/cronaca/2011/08/04/news/portofino_via_l_antenna |










.png)
.png)


.png)







.png)
.png)











.png)
.png)
.png)
.png)
.png)
.png)
.png)
.png)
.png)





.png)
.png)




.png)
.png)














.png)
.png)
.png)







.png)




















.jpg)
.jpg)
.jpg)
.jpg)

.jpg)



.jpg)
.jpg)
.jpg)
.jpg)
.jpg)







































































.jpg)
.jpg)

.jpg)
.jpg)






























.jpg)
.jpg)







.jpg)












































































.jpg)
.jpg)
.jpg)










.jpg)















































.jpg)
.jpg)













































%208.11-2011%20%200_43_24.jpg)
%208.11-2011%20%200_43_28.jpg)




.jpg)


